Simplify your online presence. Elevate your brand.

Matrix And Row Operations

Elementary Row Operations Pdf Matrix Mathematics Algebra
Elementary Row Operations Pdf Matrix Mathematics Algebra

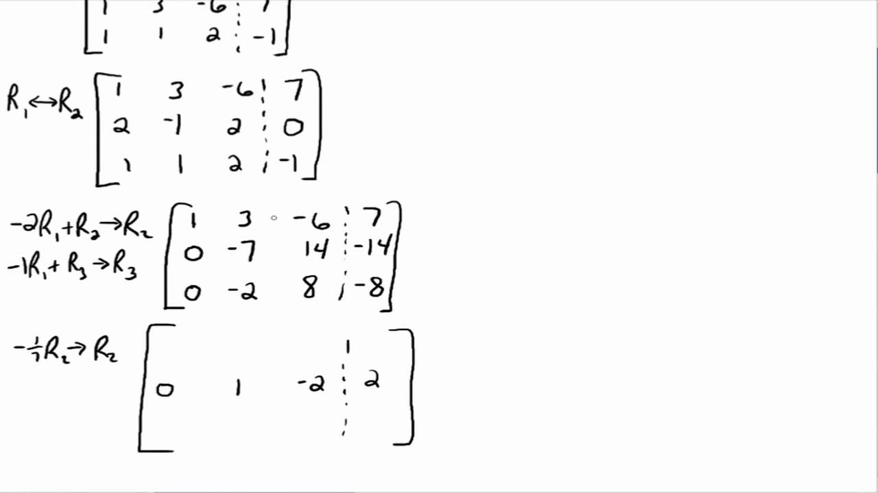
Elementary Row Operations Pdf Matrix Mathematics Algebra Learn how to perform the matrix elementary row operations. these operations will allow us to solve complicated linear systems with (relatively) little hassle!. We began this section discussing how we can manipulate the entries in a matrix with elementary row operations. this led to two questions, “where do we go?” and “how do we get there quickly?”.

Matrix Row Operations Article Matrices Khan Academy
Matrix Row Operations Article Matrices Khan Academy

Matrix Row Operations Article Matrices Khan Academy Learn how elementary row operations on an augmented matrix transform both sides simultaneously to solve linear systems, with clear examples. Generally, there are three known elementary matrix operations performed on rows and columns of matrices. the operations performed on the rows are known as elementary matrix row operations. What are the three matrix row operations? for matrices, there are three basic row operations; that is, there are three procedures that you can do with the rows of a matrix. Comprehensive guide to elementary row operations on matrices with explanations, properties, and examples using elementary matrices.

What Are Matrix Row Operations Infoupdate Org
What Are Matrix Row Operations Infoupdate Org

What Are Matrix Row Operations Infoupdate Org What are the three matrix row operations? for matrices, there are three basic row operations; that is, there are three procedures that you can do with the rows of a matrix. Comprehensive guide to elementary row operations on matrices with explanations, properties, and examples using elementary matrices. Now that we can write systems of equations in augmented matrix form, we will examine the various row operations that can be performed on a matrix, such as addition, multiplication by a constant, and interchanging rows. This lesson describes elementary matrix operations and shows how to use elementary matrix operators to perform row and column operations. Matrix vector multiplication it is also possible to multiply on the left by a row vector. if we write a by columns, then we can express as, | | | = = 1 2 ⋯. The first matrix fails to satisfy the first condition of definition 2, since the leading non zero entry of the first row is not equal to1. the second matrix satisfies the first condition, but is fails to satisfy the second condition because of its column 3.

What Are Matrix Row Operations Infoupdate Org
What Are Matrix Row Operations Infoupdate Org

What Are Matrix Row Operations Infoupdate Org Now that we can write systems of equations in augmented matrix form, we will examine the various row operations that can be performed on a matrix, such as addition, multiplication by a constant, and interchanging rows. This lesson describes elementary matrix operations and shows how to use elementary matrix operators to perform row and column operations. Matrix vector multiplication it is also possible to multiply on the left by a row vector. if we write a by columns, then we can express as, | | | = = 1 2 ⋯. The first matrix fails to satisfy the first condition of definition 2, since the leading non zero entry of the first row is not equal to1. the second matrix satisfies the first condition, but is fails to satisfy the second condition because of its column 3.

What Are Matrix Row Operations Infoupdate Org
What Are Matrix Row Operations Infoupdate Org

What Are Matrix Row Operations Infoupdate Org Matrix vector multiplication it is also possible to multiply on the left by a row vector. if we write a by columns, then we can express as, | | | = = 1 2 ⋯. The first matrix fails to satisfy the first condition of definition 2, since the leading non zero entry of the first row is not equal to1. the second matrix satisfies the first condition, but is fails to satisfy the second condition because of its column 3.

Comments are closed.