Simplify your online presence. Elevate your brand.

Maths 2b 2 Marks Chapters

Maths 2b Pdf
Maths 2b Pdf

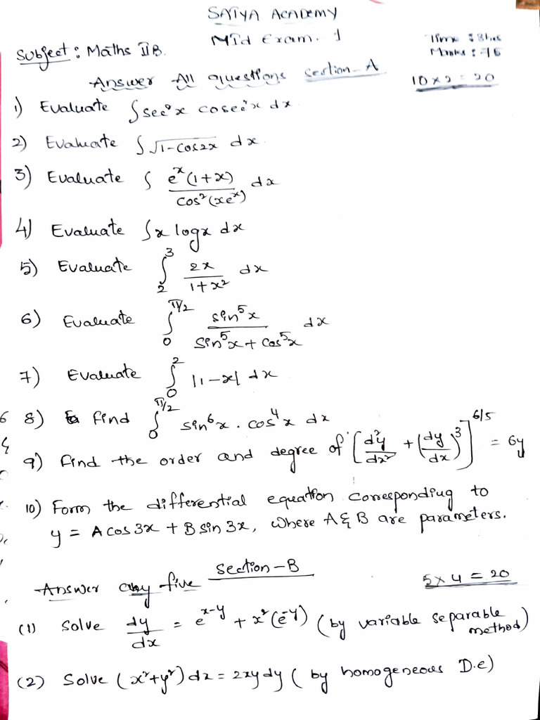
Maths 2b Pdf This document outlines the chapter wise weightage for the second year mathematics exam, dividing it into two parts: part a and part b. Inter second year maths 2b solutions. circle, system of circles, parabola, ellipse, hyperbola, integration, definite integrals and diffential equations solutions links are given below.

2 Marks Pdf
2 Marks Pdf

2 Marks Pdf These maths 2b chapter wise with solutions pdf is a fruitful resource for the students as there is a sudden advancement in the level of difficulty in the subject. Loading…. Maths 2b free download as pdf file (.pdf) or read online for free. maths 2b lmr pdf with all questions and also with 45 days study plan. The questions given in the inter 2nd year maths 2b important questions chapter wise with solutions pdf 2022 ts have been prepared by analysing the previous year papers and the weightage of the chapter.

Maths 2b Pdf
Maths 2b Pdf

Maths 2b Pdf Maths 2b free download as pdf file (.pdf) or read online for free. maths 2b lmr pdf with all questions and also with 45 days study plan. The questions given in the inter 2nd year maths 2b important questions chapter wise with solutions pdf 2022 ts have been prepared by analysing the previous year papers and the weightage of the chapter. Intermediate maths solutions for iib inter maths 2b textbook exercise solutions for all chapters are given. you should study the textbook lessons very well. you should also practice the example problems and solutions which are given in the textbook. you can observe the given solutions. you will be try them in your own method. neet physics neet. These sr inter maths 2b important questions with answers are prepared as per the latest exam pattern. each of these chapters contains a set of solved questions and additional questions for practice. It outlines the number of questions and corresponding page numbers for each topic, as well as a blueprint summarizing the mark distribution for each chapter. additionally, it promotes a channel for further learning resources. Maths 2b important questions chapter wise with solutions pdf 2022 ts | ts inter 2nd year maths 2b important questions march 16, 2024 by obul.

Maths 2b Pdf
Maths 2b Pdf

Maths 2b Pdf Intermediate maths solutions for iib inter maths 2b textbook exercise solutions for all chapters are given. you should study the textbook lessons very well. you should also practice the example problems and solutions which are given in the textbook. you can observe the given solutions. you will be try them in your own method. neet physics neet. These sr inter maths 2b important questions with answers are prepared as per the latest exam pattern. each of these chapters contains a set of solved questions and additional questions for practice. It outlines the number of questions and corresponding page numbers for each topic, as well as a blueprint summarizing the mark distribution for each chapter. additionally, it promotes a channel for further learning resources. Maths 2b important questions chapter wise with solutions pdf 2022 ts | ts inter 2nd year maths 2b important questions march 16, 2024 by obul.

Maths 2b Pdf
Maths 2b Pdf

Maths 2b Pdf It outlines the number of questions and corresponding page numbers for each topic, as well as a blueprint summarizing the mark distribution for each chapter. additionally, it promotes a channel for further learning resources. Maths 2b important questions chapter wise with solutions pdf 2022 ts | ts inter 2nd year maths 2b important questions march 16, 2024 by obul.

2 Marks Pdf
2 Marks Pdf

2 Marks Pdf

Comments are closed.