Simplify your online presence. Elevate your brand.

Math210 Exercise Sheet 2 Dk Math210 Exercise Sheet 2 Workshop

Exercise Sheet 2 Pdf Eigenvalues And Eigenvectors Matrix
Exercise Sheet 2 Pdf Eigenvalues And Eigenvectors Matrix

Exercise Sheet 2 Pdf Eigenvalues And Eigenvectors Matrix Real analysis exercises for weeks 3 and 4. math210 exercise sheet workshop exercises considering or otherwise, show that 2xy x2 for all real numbers and (ii). Math210 exercise sheet 2 – solutions to workshop exercises 1. (i) by considering (x − y)2 , or otherwise, show that 2xy 6 x2 y 2 for all real numbers x and y.

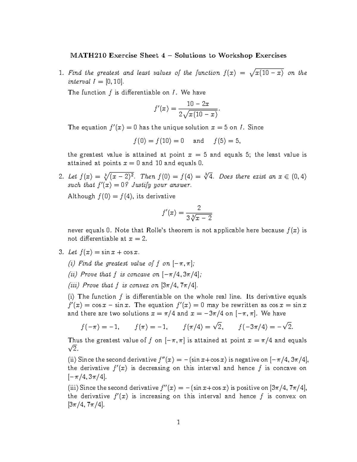
Math210 Exercise Sheet 4 Solutions Dk Math210 Exercise Sheet 4
Math210 Exercise Sheet 4 Solutions Dk Math210 Exercise Sheet 4

Math210 Exercise Sheet 4 Solutions Dk Math210 Exercise Sheet 4 Differential and integral calculus of elementary functions with applications. prerequisite (s): mat 117, 119, 170, or 171 with c or better or aleks score of 61 or higher; credit is allowed for only mat 210 or mat 251 or visiting university student. asu catalog mat 210. practice. final exam solutions for practice. final exam practice. Lebanese international university school of arts & sciences 1 math210 spring 23 24 1)use integration by parts or american method to evaluate: a)∫ 𝑥𝑥 3.𝑒𝑒𝑥𝑥 𝑑𝑑𝑥𝑥 b)∫ 𝑥𝑥3 .𝑙𝑙𝑙𝑙𝑥𝑥𝑑𝑑𝑥𝑥 2)evaluate the trigonometric integral: a)∫ 𝑠𝑠𝑠𝑠𝑙𝑙6𝑥𝑥. Purpose of assignment in this week, students are learning about managing different types of economic costs. organizations colorado university wk 2 ut 3 opportunities for improvement amazon discussion. These are all in the pdf format. if you desire another format, please contact me. the exercises are problems that can be done. scan without a scanne r green sheet calendar assignment list what to do before class starts first class intro powerpoint chapter 1 chapter 2 chapter 3 chapter 4 chapter 5 chapter 6 chapter 7 chapter 8 function.

Math210 Exercise Sheet 5 Solutions Math210 Exercise Sheet 5
Math210 Exercise Sheet 5 Solutions Math210 Exercise Sheet 5

Math210 Exercise Sheet 5 Solutions Math210 Exercise Sheet 5 Purpose of assignment in this week, students are learning about managing different types of economic costs. organizations colorado university wk 2 ut 3 opportunities for improvement amazon discussion. These are all in the pdf format. if you desire another format, please contact me. the exercises are problems that can be done. scan without a scanne r green sheet calendar assignment list what to do before class starts first class intro powerpoint chapter 1 chapter 2 chapter 3 chapter 4 chapter 5 chapter 6 chapter 7 chapter 8 function. This is the repository for the python and tex files for math 210 mathematical computing and typesetting math210 spring26 latex phase 1 worksheets at main · bemer42 math210 spring26. The document contains practice problems for math 210, covering topics such as set theory, functions, and logical statements. it includes true false questions, calculations involving sets, venn diagrams, proofs, and properties of functions. Studied the topic name and want to practice? here are some exercises on tangent and normal lines basic exercises practice questions for you to maximize your understanding. Advanced calculus for data science advanced calculus f o r data science.

Solutions To Exercise Sheet 2 0c52ff734068d1c0267b8a46f0b9c7f5 Pdf
Solutions To Exercise Sheet 2 0c52ff734068d1c0267b8a46f0b9c7f5 Pdf

Solutions To Exercise Sheet 2 0c52ff734068d1c0267b8a46f0b9c7f5 Pdf This is the repository for the python and tex files for math 210 mathematical computing and typesetting math210 spring26 latex phase 1 worksheets at main · bemer42 math210 spring26. The document contains practice problems for math 210, covering topics such as set theory, functions, and logical statements. it includes true false questions, calculations involving sets, venn diagrams, proofs, and properties of functions. Studied the topic name and want to practice? here are some exercises on tangent and normal lines basic exercises practice questions for you to maximize your understanding. Advanced calculus for data science advanced calculus f o r data science.

Solution Math210 For Enginering Revision Sheet And Notes Studypool
Solution Math210 For Enginering Revision Sheet And Notes Studypool

Solution Math210 For Enginering Revision Sheet And Notes Studypool Studied the topic name and want to practice? here are some exercises on tangent and normal lines basic exercises practice questions for you to maximize your understanding. Advanced calculus for data science advanced calculus f o r data science.

Math210 Notes Dk Part I Math210 Real Analysis Part I Lecturer Dr
Math210 Notes Dk Part I Math210 Real Analysis Part I Lecturer Dr

Math210 Notes Dk Part I Math210 Real Analysis Part I Lecturer Dr

Comments are closed.