Simplify your online presence. Elevate your brand.

Matematika Kls 5 Pdf

Matematika Kelas 5 Pdf
Matematika Kelas 5 Pdf

Matematika Kelas 5 Pdf Judul: buku siswa matematika untuk sd kelas v
penulis: meita fitrianawati, ika surtiani, afit istiandaru
ilustrator: aji mei supiyanto
penerbit: kementerian pendidikan, kebudayaan, riset, dan teknologi, jakarta: 2022
deskripsi: xvi; 312 hlm; 21 x 29,7 cm
isbn: 978 602 427 916 5. Untuk sd mi kelas v. materi pelajaran yang disajikan dalam buku ini meliputi berbagai aktivitas yang berangkat dari permasalahan sehar. hari peserta didik. harapan kami, buku ini dapat mengubah persepsi matematika yang sering dianggap menakutkan menjadi mata pelajar.

Ebook Buku Siswa Matematika Kelas 5 Pdf
Ebook Buku Siswa Matematika Kelas 5 Pdf

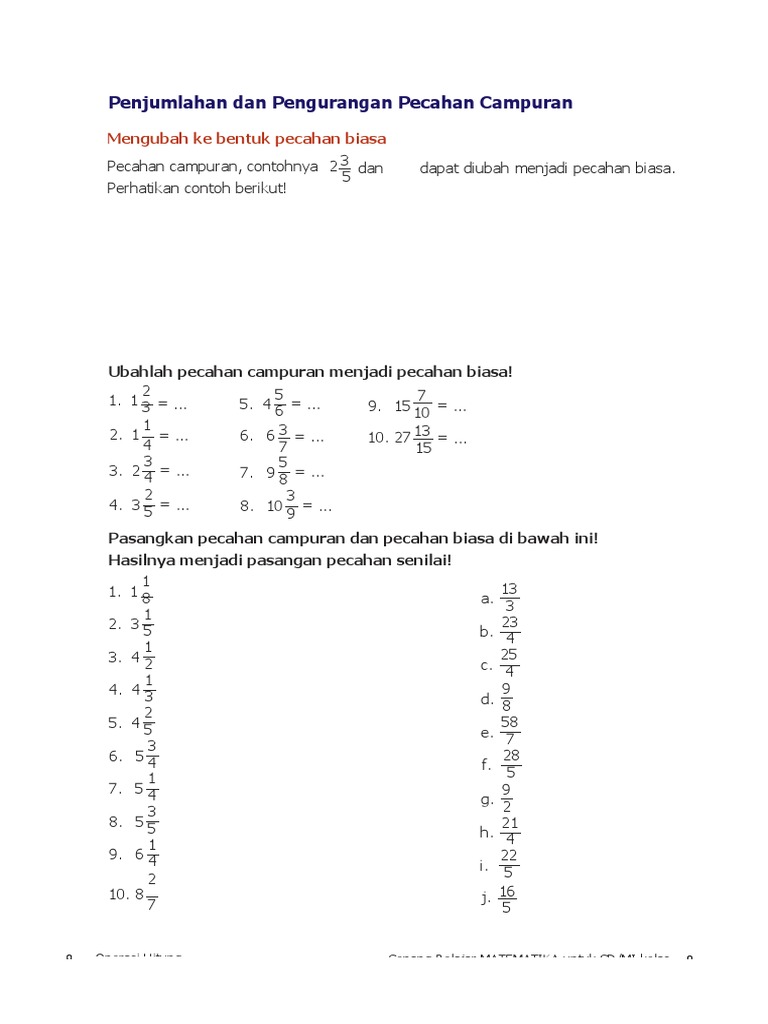
Ebook Buku Siswa Matematika Kelas 5 Pdf Download matematika untuk sd kelas 5 vol 2. buku kelas 5 sd. buku sekolah digital kelas 5 sd. bisa download file pdf, baca online langsung atau. Loading…. Buku teks pelajaran sekolah dalam berbagai bentuk seperti pdf, audio, dan interaktif produksi resmi pusat perbukuan untuk mendukung kegiatan belajar mengajar yang lebih modern. Dokumen ini adalah buku matematika untuk sd mi kelas v yang disusun berdasarkan kurikulum 2013. buku ini mencakup berbagai topik matematika seperti operasi hitung pecahan, kecepatan, debit, dan pengolahan data, serta dilengkapi dengan latihan dan soal untuk membantu siswa memahami materi.

Kls 5 Matematika Pdf
Kls 5 Matematika Pdf

Kls 5 Matematika Pdf Buku teks pelajaran sekolah dalam berbagai bentuk seperti pdf, audio, dan interaktif produksi resmi pusat perbukuan untuk mendukung kegiatan belajar mengajar yang lebih modern. Dokumen ini adalah buku matematika untuk sd mi kelas v yang disusun berdasarkan kurikulum 2013. buku ini mencakup berbagai topik matematika seperti operasi hitung pecahan, kecepatan, debit, dan pengolahan data, serta dilengkapi dengan latihan dan soal untuk membantu siswa memahami materi. Artikel ini akan menyajikan rangkuman materi matematika kelas 5 sd kurikulum merdeka secara lengkap berdasarkan buku “matematika untuk sd mi kelas v” karya meita fitrianawati, ika surtiani, dan ait istiandaru. Seluruh file buku guru matematika kelas 5 dan buku siswa matematika kelas 5 sd yang telah admin bagikan diatas semuanya tersimpan dalam format pdf sehingga mudah untuk digunakan sebagai bahan belajar bagi guru dan siswa. Silakan klik tombol hitam yang ada di pojok kanan atas buku di bawah ini untuk dapat mengunduh (download) secara gratis buku siswa mata pelajaran matematika vol. 1 kelas v (lima) sekolah dasar (sd) madrasah ibtidaiyah (mi) berikut:. Terdapat buku paket matematika untuk jenjang sd yang bisa diunduh secara gratis sebagai referensi belajar tes kemampuan akademik (tka) 2026.

Buku Matematika Kelas 5 Pdf Id Aplikasi
Buku Matematika Kelas 5 Pdf Id Aplikasi

Buku Matematika Kelas 5 Pdf Id Aplikasi Artikel ini akan menyajikan rangkuman materi matematika kelas 5 sd kurikulum merdeka secara lengkap berdasarkan buku “matematika untuk sd mi kelas v” karya meita fitrianawati, ika surtiani, dan ait istiandaru. Seluruh file buku guru matematika kelas 5 dan buku siswa matematika kelas 5 sd yang telah admin bagikan diatas semuanya tersimpan dalam format pdf sehingga mudah untuk digunakan sebagai bahan belajar bagi guru dan siswa. Silakan klik tombol hitam yang ada di pojok kanan atas buku di bawah ini untuk dapat mengunduh (download) secara gratis buku siswa mata pelajaran matematika vol. 1 kelas v (lima) sekolah dasar (sd) madrasah ibtidaiyah (mi) berikut:. Terdapat buku paket matematika untuk jenjang sd yang bisa diunduh secara gratis sebagai referensi belajar tes kemampuan akademik (tka) 2026.

Modul Ajar Matematika Kelas 5 Kurikulum Merdeka Pdf
Modul Ajar Matematika Kelas 5 Kurikulum Merdeka Pdf

Modul Ajar Matematika Kelas 5 Kurikulum Merdeka Pdf Silakan klik tombol hitam yang ada di pojok kanan atas buku di bawah ini untuk dapat mengunduh (download) secara gratis buku siswa mata pelajaran matematika vol. 1 kelas v (lima) sekolah dasar (sd) madrasah ibtidaiyah (mi) berikut:. Terdapat buku paket matematika untuk jenjang sd yang bisa diunduh secara gratis sebagai referensi belajar tes kemampuan akademik (tka) 2026.

Matematika Kelas 5 Pdf
Matematika Kelas 5 Pdf

Matematika Kelas 5 Pdf

Comments are closed.