Simplify your online presence. Elevate your brand.

Matematika Kelas 5 Soal Cerita Perkalian Pembagian Pdf

Matematika Soal Cerita Pembagian Pdf
Matematika Soal Cerita Pembagian Pdf

Matematika Soal Cerita Pembagian Pdf Dokumen ini berisi soal cerita matematika untuk kelas 5 yang mencakup perkalian dan pembagian. terdapat sepuluh soal yang meminta siswa untuk menghitung kebutuhan bensin, jumlah kue, krayon, air, permen, sampah, siswa, permen lolipop, mangga, dan bunga mawar. Kumpulan soal perkalian dan pembagian kelas 5 sd kurikulum merdeka bimbingan belajar brilian 9 september 2024.

Soal Cerita Perkalian Dan Pembagian Pecahan Pdf
Soal Cerita Perkalian Dan Pembagian Pecahan Pdf

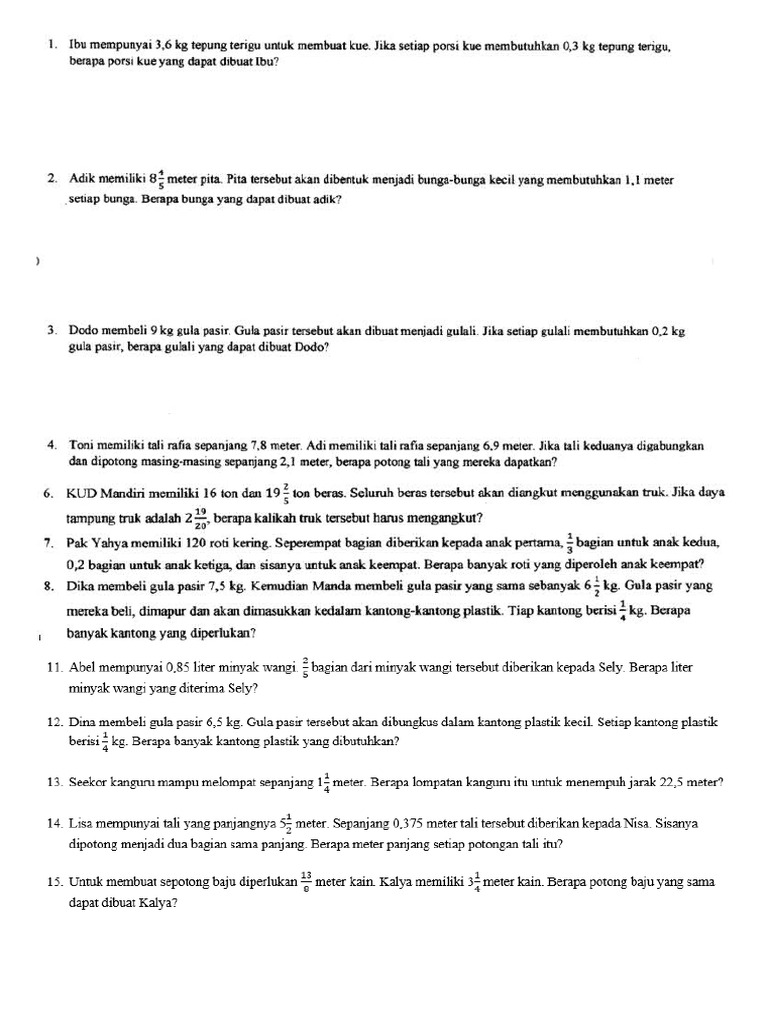
Soal Cerita Perkalian Dan Pembagian Pecahan Pdf Contoh soal pembagian kelas 5 yang sering diajarkan adalah 5 9 ÷ 3 4. untuk memudahkan perhitungan, pecahan kedua dapat dibalik dan diubah menjadi perkalian, sehingga 5 9 ÷ 3 4 menjadi 5 9 × 4 3. setelah itu, hasilnya dapat dihitung dengan mengalikan pembilang dan penyebut masing masing. Lembar kerja perkalian dan pembagian kelas 5 membantu siswa menguasai operasi matematika penting melalui soal latihan yang menarik, menampilkan lembar kerja gratis dengan kunci jawaban lengkap yang tersedia sebagai pdf yang dapat diunduh. Kumpulan soal cerita ini bertujuan untuk membantu siswa kelas 5 sd mi dalam memahami dan mengaplikasikan konsep konsep matematika yang dipelajari dalam kurikulum merdeka. soal soal ini mencakup berbagai topik dari semester 1 dan 2, memberikan latihan yang komprehensif bagi siswa. Kemudian bisa ditentukan apakah soal tersebut dikerjakan dalam bentuk perkalian atau pembagian. berikut ini soal soal yang berkaitan dengan masalah perkalian dan pembagian pecahan sekaligus kunci jawaban atau pembahasannya.

Soal Cerita Matematika Kelas 5 Pecahan Dan Kunci Jawaban Perumperindo
Soal Cerita Matematika Kelas 5 Pecahan Dan Kunci Jawaban Perumperindo

Soal Cerita Matematika Kelas 5 Pecahan Dan Kunci Jawaban Perumperindo Kumpulan soal cerita ini bertujuan untuk membantu siswa kelas 5 sd mi dalam memahami dan mengaplikasikan konsep konsep matematika yang dipelajari dalam kurikulum merdeka. soal soal ini mencakup berbagai topik dari semester 1 dan 2, memberikan latihan yang komprehensif bagi siswa. Kemudian bisa ditentukan apakah soal tersebut dikerjakan dalam bentuk perkalian atau pembagian. berikut ini soal soal yang berkaitan dengan masalah perkalian dan pembagian pecahan sekaligus kunci jawaban atau pembahasannya. 50 contoh soal kelas 5 sd soal cerita matematika perkalian berikut adalah 50 contoh soal cerita matematika perkalian untuk kelas 5 sd beserta jawabannya: 1. siti membeli 4 kotak pensil. setiap kotak berisi 6 pensil. berapa banyak pensil yang dibeli siti? 2. dalam sebuah kebun, terdapat 7 baris tanaman. setiap baris terdiri dari 8 pohon mangga. Hallo adik adik ajar hitung adik adik siswa kelas 5 yang sedang mempelajari perkalian dan pembagian pecahan hari ini kakak akan menemani kalian untuk berlatih soal mengenai perkalian dan pembagian pecahan. Artikel ini menyajikan 100 soal cerita matematika yang disesuaikan dengan materi kurikulum merdeka 2025 untuk kelas 5 sd semester 1, lengkap dengan kunci jawaban untuk memudahkan pembelajaran. Latihan soal matematika kelas 5 sd fokus pada perkalian dan pembagian pecahan biasa serta desimal. tingkatkan pemahaman konsep dengan soal ini!.

Matematika Perkalian Dan Pembagian Pecahan Kelas 5 Quizizz Pdf
Matematika Perkalian Dan Pembagian Pecahan Kelas 5 Quizizz Pdf

Matematika Perkalian Dan Pembagian Pecahan Kelas 5 Quizizz Pdf 50 contoh soal kelas 5 sd soal cerita matematika perkalian berikut adalah 50 contoh soal cerita matematika perkalian untuk kelas 5 sd beserta jawabannya: 1. siti membeli 4 kotak pensil. setiap kotak berisi 6 pensil. berapa banyak pensil yang dibeli siti? 2. dalam sebuah kebun, terdapat 7 baris tanaman. setiap baris terdiri dari 8 pohon mangga. Hallo adik adik ajar hitung adik adik siswa kelas 5 yang sedang mempelajari perkalian dan pembagian pecahan hari ini kakak akan menemani kalian untuk berlatih soal mengenai perkalian dan pembagian pecahan. Artikel ini menyajikan 100 soal cerita matematika yang disesuaikan dengan materi kurikulum merdeka 2025 untuk kelas 5 sd semester 1, lengkap dengan kunci jawaban untuk memudahkan pembelajaran. Latihan soal matematika kelas 5 sd fokus pada perkalian dan pembagian pecahan biasa serta desimal. tingkatkan pemahaman konsep dengan soal ini!.

Soal Matematika Kelas 5 K13 Perkalian Dan Pembagian Pecahan Pdf
Soal Matematika Kelas 5 K13 Perkalian Dan Pembagian Pecahan Pdf

Soal Matematika Kelas 5 K13 Perkalian Dan Pembagian Pecahan Pdf Artikel ini menyajikan 100 soal cerita matematika yang disesuaikan dengan materi kurikulum merdeka 2025 untuk kelas 5 sd semester 1, lengkap dengan kunci jawaban untuk memudahkan pembelajaran. Latihan soal matematika kelas 5 sd fokus pada perkalian dan pembagian pecahan biasa serta desimal. tingkatkan pemahaman konsep dengan soal ini!.

Soal Cerita Perkalian Dan Pembagian Pecahan Quizizz Pdf
Soal Cerita Perkalian Dan Pembagian Pecahan Quizizz Pdf

Soal Cerita Perkalian Dan Pembagian Pecahan Quizizz Pdf

Comments are closed.