Simplify your online presence. Elevate your brand.

Lecture 15

Math15 Lecture 10
Math15 Lecture 10

Math15 Lecture 10 Lecture 15 takeaway: the monitor pattern combines procedures and state into a class for easier management of synchronization. then threads can call its thread safe methods!. Ocw is open and available to the world and is a permanent mit activity.

Lecture 15 Projections Onto Subspaces Linear Algebra Mathematics
Lecture 15 Projections Onto Subspaces Linear Algebra Mathematics

Lecture 15 Projections Onto Subspaces Linear Algebra Mathematics Lecture 15: c program structure issues how to cope with ever bigger programs? objects user defined data types components related objects. Lecture 15 these lecture notes provide essential guidelines for completing 'project 2,' including required api endpoints, data retrieval methods using jquery, and parsing techniques for the returned json data. Following your pre lecture exercise let’s brainstorm some greedy algorithms! think share! 8. Recursion is a programming method and a way to divide and conquer. a problem is broken down into a base case and a recursive step.

Lecture 3 Ppt
Lecture 3 Ppt

Lecture 3 Ppt Following your pre lecture exercise let’s brainstorm some greedy algorithms! think share! 8. Recursion is a programming method and a way to divide and conquer. a problem is broken down into a base case and a recursive step. Lecture 15 topics covered till this point: i. primitive types byte, short, int, long double, float. Lecture 15: recursion mit 6.100l introduction to cs and programming using python, fall 2022 instructor: ana bell view the complete course: ocw.mit.edu courses 6 100l introduction to cs and programming using python fall 2022 playlist: playlist?list=plul4u3cngp62a ynp6v6 lgbczeh3vaqb recursion is a. When other languages like java evolve with the passage of time, pointers are explicitly excluded. in today’s lecture, we will discuss pointers, the relationship between pointers and arrays, pointer expressions, arithmetic with pointers, relationship between arrays and pointer, strings etc. • the below code is the objdump of a c function, foo. • foo keeps its 1st and 2nd parameters are in registers %rdi and %rsi, respectively. 1. what does this function do? 2. what c code could have generated this assembly? • the below code is the objdump of a c function, foo.

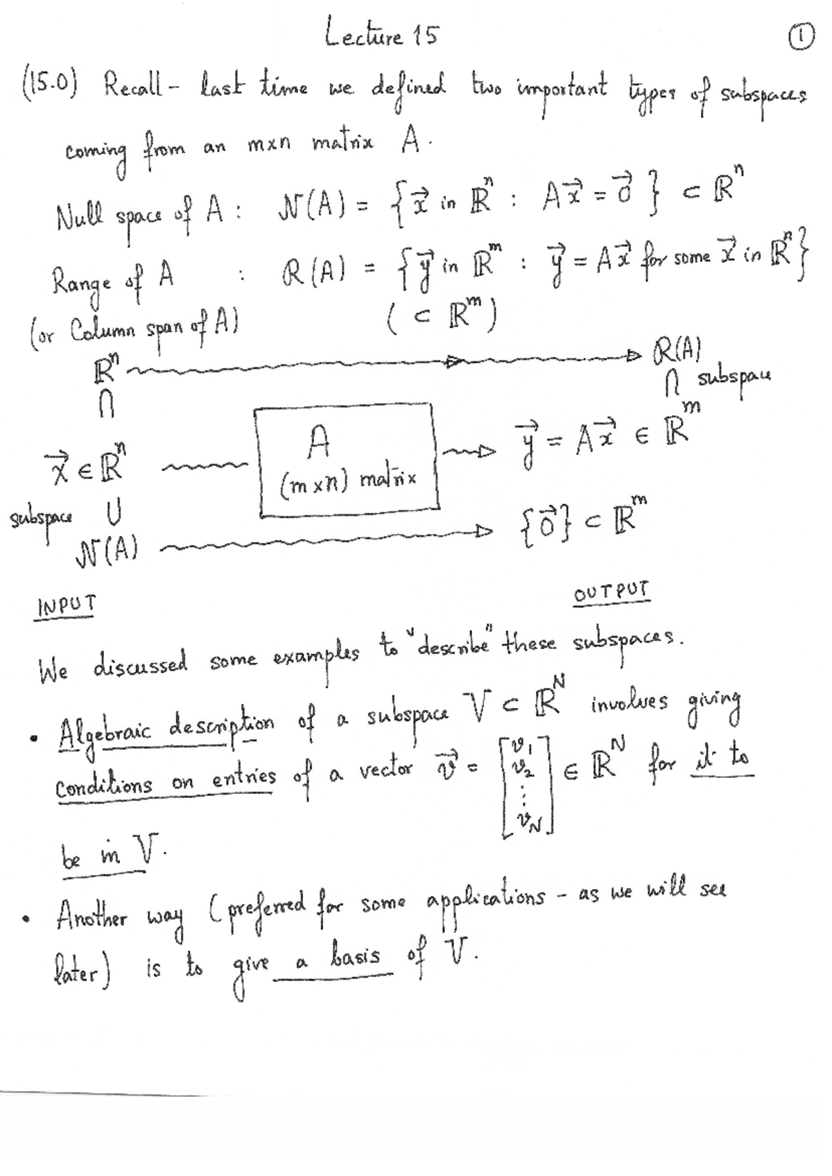
Lecture 15 Notes Lecture 15 1 15 Recall Last Time We Defined Two
Lecture 15 Notes Lecture 15 1 15 Recall Last Time We Defined Two

Lecture 15 Notes Lecture 15 1 15 Recall Last Time We Defined Two Lecture 15 topics covered till this point: i. primitive types byte, short, int, long double, float. Lecture 15: recursion mit 6.100l introduction to cs and programming using python, fall 2022 instructor: ana bell view the complete course: ocw.mit.edu courses 6 100l introduction to cs and programming using python fall 2022 playlist: playlist?list=plul4u3cngp62a ynp6v6 lgbczeh3vaqb recursion is a. When other languages like java evolve with the passage of time, pointers are explicitly excluded. in today’s lecture, we will discuss pointers, the relationship between pointers and arrays, pointer expressions, arithmetic with pointers, relationship between arrays and pointer, strings etc. • the below code is the objdump of a c function, foo. • foo keeps its 1st and 2nd parameters are in registers %rdi and %rsi, respectively. 1. what does this function do? 2. what c code could have generated this assembly? • the below code is the objdump of a c function, foo.

Comments are closed.