Simplify your online presence. Elevate your brand.

Integral With Complex Exponentials Example 2 Youtube

C 5 Integral Of The Exponential Youtube
C 5 Integral Of The Exponential Youtube

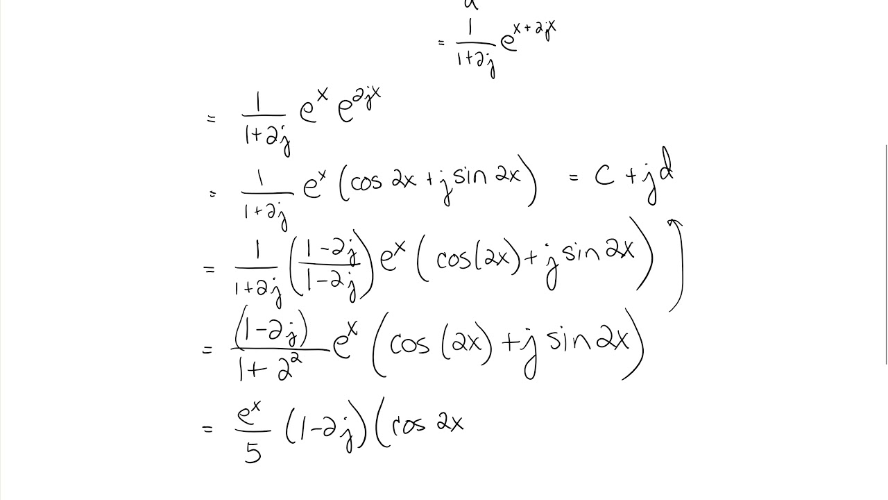
C 5 Integral Of The Exponential Youtube Integral with complex exponentials example 2 robert cox 4.82k subscribers subscribed. Live on fox with tv. plus, get game day features and free 4k. new users only. 4k available for an extra charge after trial. terms apply. cancel anytime.

Integral Fungsi Eksponensial Youtube
Integral Fungsi Eksponensial Youtube

Integral Fungsi Eksponensial Youtube Enjoy the videos and music you love, upload original content, and share it all with friends, family, and the world on . Real integration using a complex exponential | worked example learnalotl 58 subscribers subscribe. In the next lemma we verify that the complex exponential obeys a couple of familiar computational properties. Simply put, the reason is that it's an integral that is symmetric around $f=0$, and because sin is an odd function, the integral of the sin component must be zero.

Integration Of Exponentials Youtube
Integration Of Exponentials Youtube

Integration Of Exponentials Youtube In the next lemma we verify that the complex exponential obeys a couple of familiar computational properties. Simply put, the reason is that it's an integral that is symmetric around $f=0$, and because sin is an odd function, the integral of the sin component must be zero. In the next lemma we verify that the complex exponential obeys a couple of familiar computational properties. The most common problem is with complex exponentials (or sines and cosines which can be written as such). calculate the integral (which falls slowly for large x!). We'll explain why this is true in a minute, but ook at our example (3). the real part of e( 1 i)t is e t cos t, and the imag nary part is e t sin t. both are solutions to (3), and the general real solution is a linear c in practice, you should just use the following consequence of what we've done:. These integrals are basic to the the ory of fourier series, which occurs in many applications, especially in the study of wave motion (light, sound, economic cycles, clocks, oceans, etc.).

Integration Exponential Functions Youtube
Integration Exponential Functions Youtube

Integration Exponential Functions Youtube In the next lemma we verify that the complex exponential obeys a couple of familiar computational properties. The most common problem is with complex exponentials (or sines and cosines which can be written as such). calculate the integral (which falls slowly for large x!). We'll explain why this is true in a minute, but ook at our example (3). the real part of e( 1 i)t is e t cos t, and the imag nary part is e t sin t. both are solutions to (3), and the general real solution is a linear c in practice, you should just use the following consequence of what we've done:. These integrals are basic to the the ory of fourier series, which occurs in many applications, especially in the study of wave motion (light, sound, economic cycles, clocks, oceans, etc.).

Integration Of Exponential Functions Youtube
Integration Of Exponential Functions Youtube

Integration Of Exponential Functions Youtube We'll explain why this is true in a minute, but ook at our example (3). the real part of e( 1 i)t is e t cos t, and the imag nary part is e t sin t. both are solutions to (3), and the general real solution is a linear c in practice, you should just use the following consequence of what we've done:. These integrals are basic to the the ory of fourier series, which occurs in many applications, especially in the study of wave motion (light, sound, economic cycles, clocks, oceans, etc.).

Comments are closed.