Simplify your online presence. Elevate your brand.

Finite Math Pdf Polynomial Abstract Algebra

Math 200 Abstract Algebra Pdf
Math 200 Abstract Algebra Pdf

Math 200 Abstract Algebra Pdf Let s be a finite set of size n. determine (in terms of n) the number of pairs of sets (a, b) where both a and b are subsets of s, and where no element of s is both in a and b. prove the formula you find. If you’re lucky enough to bump into a mathematician then you might get something along the lines of: “algebra is the abstract encapsulation of our intuition for composition”.

Abstract Algebra Exercise Pdf Permutation Mathematical Analysis
Abstract Algebra Exercise Pdf Permutation Mathematical Analysis

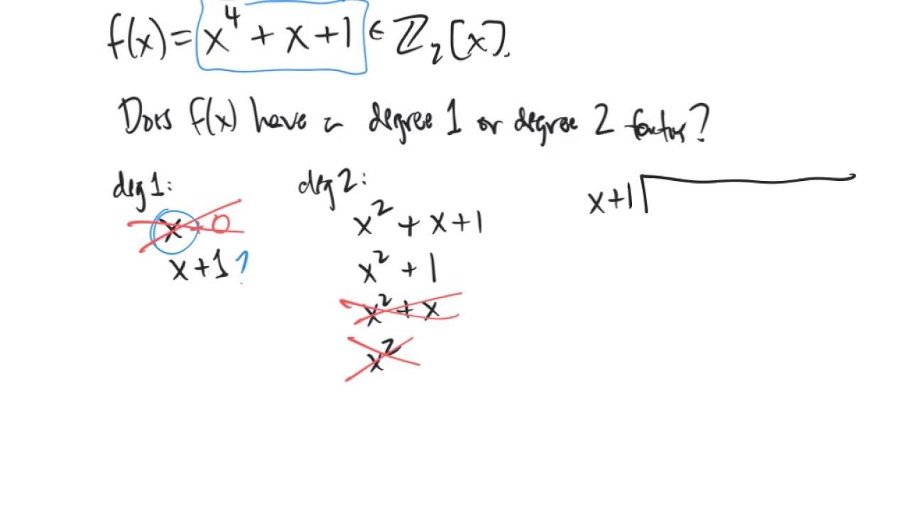
Abstract Algebra Exercise Pdf Permutation Mathematical Analysis Finite math free download as pdf file (.pdf), text file (.txt) or read online for free. For example, if k = fp is the field with p elements, there are infinitely many polynomials in fp[x], but only finitely many maps f : fp → fp. an important special case is the polynomial f(x) = xp−x, which vanishes for every x ∈ fp but is not the zero polynomial. The factorization of xq x 2 zp[x] into irreducible factors contain each monic irreducible polynomial h(x) 2 zp[x] whose degree divides n, each such polynomial occuring exactly once. The focus of this book is applications of abstract algebra to poly nomial systems. the first five chapters explore basic problems like polynomial division, solving systems of polynomials, formulas for roots of polynomials, and counting integral roots of equations.

Pdf Applied Abstract Algebra
Pdf Applied Abstract Algebra

Pdf Applied Abstract Algebra [the most famous problem in mathematics is the riemann hypothesis, which says the analytic continuation of the zeta function for re(s) >0 has all its roots on the line re(s) = 1=2.]. This chapter provides an introduction to several kinds of abstract algebraic structures, partic ularly groups, fields, and polynomials. our primary interest is in finite fields, i.e., fields with a finite number of elements (also called galois fields). 2 3 algebraic integers of an integer polynomial equation. it is an algebraic integer if it is the root of monic integer polynomial equation. equivalently, its irred a rational number is an algebraic integer iff it is an integer. These are my lecture notes for a first course in abstract algebra, which i have taught a number of times over the years. typically, the course at tracts students of varying background and ability. the notes assume some familiarity with linear algebra, in that matrices are used frequently.

Introduction To Abstract Algebra Math 113 Alexander Paulin Pdf
Introduction To Abstract Algebra Math 113 Alexander Paulin Pdf

Introduction To Abstract Algebra Math 113 Alexander Paulin Pdf 2 3 algebraic integers of an integer polynomial equation. it is an algebraic integer if it is the root of monic integer polynomial equation. equivalently, its irred a rational number is an algebraic integer iff it is an integer. These are my lecture notes for a first course in abstract algebra, which i have taught a number of times over the years. typically, the course at tracts students of varying background and ability. the notes assume some familiarity with linear algebra, in that matrices are used frequently.

Comments are closed.