Simplify your online presence. Elevate your brand.

Factoring Complex Trinomials Explained Pdf Factorization Polynomial

Factoring Trinomials Pdf Factorization Quadratic Equation
Factoring Trinomials Pdf Factorization Quadratic Equation

Factoring Trinomials Pdf Factorization Quadratic Equation The last example is called a perfect square trinomial , since it can be factored as the square of a binomial. while perfect squares can be factored via decomposition, there is a shortcut that we can use by noting a relationship between the coe cients. Factoring complex trinomials handout free download as pdf file (.pdf), text file (.txt) or read online for free. this document discusses factoring complex trinomials.

Trinomials Factoring Practice Pdf Pdf Factorization Polynomial
Trinomials Factoring Practice Pdf Pdf Factorization Polynomial

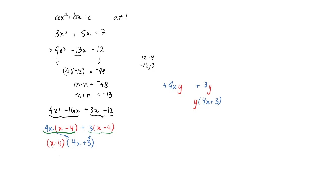
Trinomials Factoring Practice Pdf Pdf Factorization Polynomial Factoring complex trinomials it can be common factored. if it cannot, you must use another me trinomials in the form 2 h ≠ 1 are known as complex trinomials. Factoring trinomials: finding the factors of that sum to and splitting in order to set up a workable grouping problem led to the factorization of any quadratic. unfortunately, on occasion, we ran into quadratic trinomials that wouldn’t be factored using the above technique. To properly factor a complex trinomial, follow these steps: decomposition step = term is decomposed into 2 new like terms, derived from the unique pair of factors found in the first step. group first pair of terms & group second pair of terms; then factor the gcf from each pair. Math 101 college algebra j robert buchanan department of mathematics fall 2022 in this lesson we will learn to factor trinomials using the trial and error method, and factor trinomials using the ac method. the trinomials we will work with will be of the form ax2 bx c with the coeficients a, b, and c as integers.

Factoring Trinomials And Target Sums Pdf
Factoring Trinomials And Target Sums Pdf

Factoring Trinomials And Target Sums Pdf To properly factor a complex trinomial, follow these steps: decomposition step = term is decomposed into 2 new like terms, derived from the unique pair of factors found in the first step. group first pair of terms & group second pair of terms; then factor the gcf from each pair. Math 101 college algebra j robert buchanan department of mathematics fall 2022 in this lesson we will learn to factor trinomials using the trial and error method, and factor trinomials using the ac method. the trinomials we will work with will be of the form ax2 bx c with the coeficients a, b, and c as integers. The greatest common factor (gcf) of polynomials is the largest polynomial that divides evenly into the polynomials. for example: gcf of 4x 20x2y is 4x trinomials with leading coeficient 1 can be factored by finding numbers that have a product of the third term and a sum of the second term. The factor theorem states: “if “c” is substituted for x in a polynomial in x, and the resulting value after substitution is “0”, then x – c is a factor of the polynomial.”. How are exercises 15 – 20 different from 1 14?. Example: the polynomial 2x 2 is irreducible over r since any factorization results in at least one unit, for example 2x 2 = 2(x 1) doesn't count since 2 is a unit.

Study Guide On Factoring Complex Trinomials Course Hero
Study Guide On Factoring Complex Trinomials Course Hero

Study Guide On Factoring Complex Trinomials Course Hero The greatest common factor (gcf) of polynomials is the largest polynomial that divides evenly into the polynomials. for example: gcf of 4x 20x2y is 4x trinomials with leading coeficient 1 can be factored by finding numbers that have a product of the third term and a sum of the second term. The factor theorem states: “if “c” is substituted for x in a polynomial in x, and the resulting value after substitution is “0”, then x – c is a factor of the polynomial.”. How are exercises 15 – 20 different from 1 14?. Example: the polynomial 2x 2 is irreducible over r since any factorization results in at least one unit, for example 2x 2 = 2(x 1) doesn't count since 2 is a unit.

Comments are closed.