Simplify your online presence. Elevate your brand.

Evs Notebook Work Pdf Ut 1 Pdf

Evs Term 1 Notebook Work Pdf
Evs Term 1 Notebook Work Pdf

Evs Term 1 Notebook Work Pdf Evs notebook work pdf ut 1 free download as pdf file (.pdf) or read online for free. evs work. Loading….

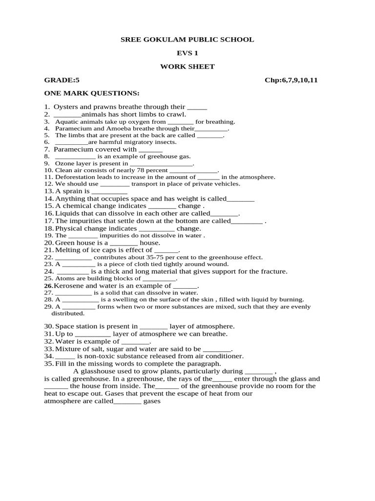
Evs 1 Work Sheet Pdf Water Atmosphere Of Earth
Evs 1 Work Sheet Pdf Water Atmosphere Of Earth

Evs 1 Work Sheet Pdf Water Atmosphere Of Earth Topic chapter 1 ( about me) subtopics: self introduction likes and dislikes. In the following page, you can find a table with a method you can use to plan your learning objectives, a table taken from the manual "youthpass in the evs training cycle". Download class1 evs notebook work pdf for free. Students can download these evs quick revision notes in pdf format for free of cost from the below mentioned links and make use of them even when you’re offline during the exam preparation.

Class 1 Evs Pdf
Class 1 Evs Pdf

Class 1 Evs Pdf Download class1 evs notebook work pdf for free. Students can download these evs quick revision notes in pdf format for free of cost from the below mentioned links and make use of them even when you’re offline during the exam preparation. Evs term 1 notebook work free download as pdf file (.pdf) or read online for free. Evs ut 1 revision free download as pdf file (.pdf), text file (.txt) or read online for free. Evs u 1 one shot notes (new) d89ef312 be90 4f03 b7f3 632758f0fa3c free download as pdf file (.pdf) or read online for free. it containns all the notes of unit 1 of evs for aktu exam of gateway classes. Unit 1 5th evs notebook work free download as pdf file (.pdf), text file (.txt) or read online for free.

Evs Unit 1 Pdf Ecosystem Waste
Evs Unit 1 Pdf Ecosystem Waste

Evs Unit 1 Pdf Ecosystem Waste Evs term 1 notebook work free download as pdf file (.pdf) or read online for free. Evs ut 1 revision free download as pdf file (.pdf), text file (.txt) or read online for free. Evs u 1 one shot notes (new) d89ef312 be90 4f03 b7f3 632758f0fa3c free download as pdf file (.pdf) or read online for free. it containns all the notes of unit 1 of evs for aktu exam of gateway classes. Unit 1 5th evs notebook work free download as pdf file (.pdf), text file (.txt) or read online for free.

Comments are closed.