Simplify your online presence. Elevate your brand.

Esp9 Q3 Exam Pdf

Exam Esp9 Pdf
Exam Esp9 Pdf

Exam Esp9 Pdf Panuto: basahin at unawain ang mga pangungusap. 1. ang katarungan ay pagbibigay sa kapuwa ng nararapat sa kaniya. alin sa sumusunod na sitwasyon ang nagpapakita nito? a. kumakain nang saba’y sabay ang mga miyembro ng pamilya. b. pinapayuhan ang kapatid ng gawin ang kaniyang gawaing bahay. Esp 9 third quarter examination click this to access the esp 9 q3 examination website made possible by sir edgie cortezmaster teacher ii, english, sbnhs "save paper, think before.

Esp 9 Q3 Exam Pdf
Esp 9 Q3 Exam Pdf

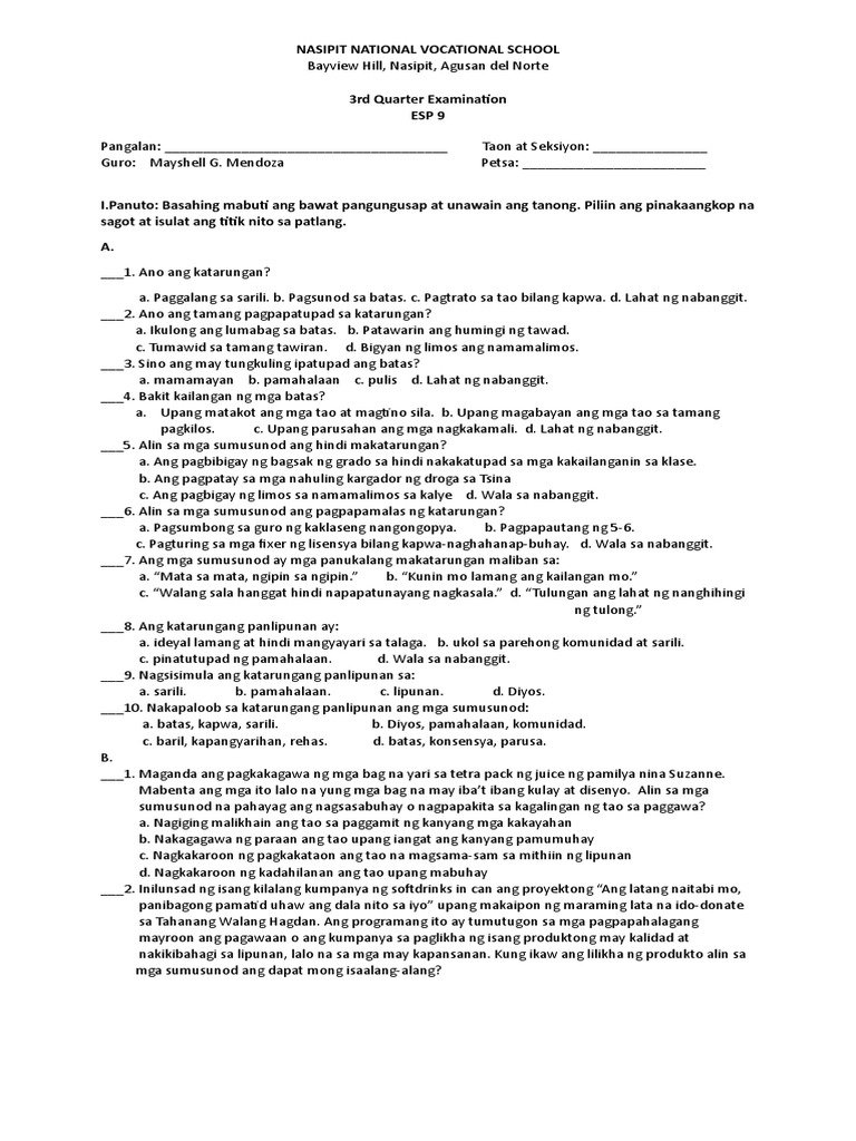
Esp 9 Q3 Exam Pdf These exams are aligned with the department of education's guidelines on external evaluation and student assessment. the 3rd quarterly exams compilation is available for free download. these assessments are classroom based and can be used as a guide to design your own classroom assessments. Piliin ang pinakaangkop na sagot at isulat ang titik nito sa patlang. 1. ano ang katarungan? a. paggalang sa sarili. c. pagtrato sa tao bilang kapwa. b. pagsunod sa batas. d. lahat ng nabanggit. 2. ano ang tamang pagpapatupad sa katarungan? a. ikulong ang lumabag sa batas. c. tumawid sa tamang tawiran. b. patawarin ang humingi ng tawad. d. On studocu you find all the lecture notes, summaries and study guides you need to pass your exams with better grades. Ang mga sumusunod ay paglalarawan sa paggawa maliban sa: a. b. anomang gawaing makatao, nararapat sa tao bilang anak ng diyos. isang gawain ng tao na palagiang isinasagawa nang may pakikipagtulungan sa kaniyang kapwa. c. resuta ng pagkilos ng tao na may layuning makatugon sa pangangailangan ng kapwa. d.

Esp 9 Q3 Exam Pdf
Esp 9 Q3 Exam Pdf

Esp 9 Q3 Exam Pdf Q3 esp9 exam ang dokumento ay tungkol sa edukasyon sa pagpapakatao 9. naglalaman ito ng 16 tanong tungkol sa katarungan at kaugnay na mga konsepto. ang mga tanong ay nakatuon sa pag unawa at pagsasanay sa mga mahahalagang pagpapahalagang kaugnay ng katarungan at pagiging makatao. If there is problem accessing the portal, pls notify the sagad high school (ict coordinator) at [email protected]. Esp 9 las quarter 3 free download as pdf file (.pdf), text file (.txt) or read online for free. esp 9 quarter 3. Esp 9 summative test 3rd quarter uploaded by airene reyes copyright © © all rights reserved.

Esp 9 Q3 Wk 1 Pdf
Esp 9 Q3 Wk 1 Pdf

Esp 9 Q3 Wk 1 Pdf

Q3 Esp9 Exam Pdf
Q3 Esp9 Exam Pdf

Q3 Esp9 Exam Pdf

Esp 9 1st Quarter Exam Pdf
Esp 9 1st Quarter Exam Pdf

Esp 9 1st Quarter Exam Pdf

Esp 9 3rd Quarter Exam 36copies Copy Docx Pdfcoffee Com
Esp 9 3rd Quarter Exam 36copies Copy Docx Pdfcoffee Com

Esp 9 3rd Quarter Exam 36copies Copy Docx Pdfcoffee Com

Esp 9 3rd Quarter Exam Pdf
Esp 9 3rd Quarter Exam Pdf

Esp 9 3rd Quarter Exam Pdf

Esp 9 Q3 Exam Republic Of The Philippines Department Of Education
Esp 9 Q3 Exam Republic Of The Philippines Department Of Education

Esp 9 Q3 Exam Republic Of The Philippines Department Of Education

Esp9 Q3 Module 3 Pdf
Esp9 Q3 Module 3 Pdf

Esp9 Q3 Module 3 Pdf

Esp9 Q4 Exam Pdf
Esp9 Q4 Exam Pdf

Esp9 Q4 Exam Pdf

Esp 9 Q2 Review Exam Pdf
Esp 9 Q2 Review Exam Pdf

Esp 9 Q2 Review Exam Pdf

Esp3q Exam Pdf
Esp3q Exam Pdf

Esp3q Exam Pdf

Esp 9 Q3 Exam Pdf
Esp 9 Q3 Exam Pdf

Esp 9 Q3 Exam Pdf

Summative Test In Esp 9 Q3 Pdfcoffee Com
Summative Test In Esp 9 Q3 Pdfcoffee Com

Summative Test In Esp 9 Q3 Pdfcoffee Com

Esp9 Q3 M4 Pdf
Esp9 Q3 M4 Pdf

Esp9 Q3 M4 Pdf

Esp3 Q1 Exam Pdf
Esp3 Q1 Exam Pdf

Esp3 Q1 Exam Pdf

3rd Quarterly Exam In Esp 9 Pdf
3rd Quarterly Exam In Esp 9 Pdf

3rd Quarterly Exam In Esp 9 Pdf

Esp 9 Q3 Exam Pdf
Esp 9 Q3 Exam Pdf

Esp 9 Q3 Exam Pdf

Esp 9 Q2 Exam Pdf
Esp 9 Q2 Exam Pdf

Esp 9 Q2 Exam Pdf

Esp 9 3rd Quarter Exam Sy 2016 2017 Pdf
Esp 9 3rd Quarter Exam Sy 2016 2017 Pdf

Esp 9 3rd Quarter Exam Sy 2016 2017 Pdf

Esp9 Q3 Wk1 Pdf
Esp9 Q3 Wk1 Pdf

Esp9 Q3 Wk1 Pdf

Module5 Esp9 Q3 Pdf
Module5 Esp9 Q3 Pdf

Module5 Esp9 Q3 Pdf

Esp9 2ndq Exam Pdf
Esp9 2ndq Exam Pdf

Esp9 2ndq Exam Pdf

Esp 9 3rd Quarter Exam Sy 2016 2017 Pdf Assessment Tools
Esp 9 3rd Quarter Exam Sy 2016 2017 Pdf Assessment Tools

Esp 9 3rd Quarter Exam Sy 2016 2017 Pdf Assessment Tools

Esp9 Q2 Exam Pdf
Esp9 Q2 Exam Pdf

Esp9 Q2 Exam Pdf

Esp 9 Q2 Exam Pdf
Esp 9 Q2 Exam Pdf

Esp 9 Q2 Exam Pdf

Esp9 Q3 Week 3 Pdf
Esp9 Q3 Week 3 Pdf

Esp9 Q3 Week 3 Pdf

Esp 9 Q3 W1 Pdf
Esp 9 Q3 W1 Pdf

Esp 9 Q3 W1 Pdf

Esp 9 Q2 Exam Pdf
Esp 9 Q2 Exam Pdf

Esp 9 Q2 Exam Pdf

Esp 3 Q1 Exam Pdf
Esp 3 Q1 Exam Pdf

Esp 3 Q1 Exam Pdf

Esp9 Q3 Exam Pdf
Esp9 Q3 Exam Pdf

Esp9 Q3 Exam Pdf

Esp 9 3rd Quarter Examination Pdfcoffee Com
Esp 9 3rd Quarter Examination Pdfcoffee Com

Esp 9 3rd Quarter Examination Pdfcoffee Com

Q2 Exam Esp 9 Q2 Exam Esp 9 Republic Of The Philippines Department
Q2 Exam Esp 9 Q2 Exam Esp 9 Republic Of The Philippines Department

Q2 Exam Esp 9 Q2 Exam Esp 9 Republic Of The Philippines Department

Esp 9 Q3 M10 Pdf
Esp 9 Q3 M10 Pdf

Esp 9 Q3 M10 Pdf

Comments are closed.