Simplify your online presence. Elevate your brand.

Doc Contoh Askep Hernia

Lp Askep Hernia Inguinal Dextra Pdf Abdomen Small Intestine
Lp Askep Hernia Inguinal Dextra Pdf Abdomen Small Intestine

Lp Askep Hernia Inguinal Dextra Pdf Abdomen Small Intestine Pendahuluan latar belakang hernia inguinalis lateralis merupakan suatu penyakit hernia atau berupa letak epigastrika inferior, menyusuri kanalis dan keluar ke rongga perut melalui anulus inguinalis eksternus (rizaldy,. Pengkajian mencakup identitas, riwayat kesehatan, dan pola kesehatan fungsional pasien, menunjukkan adanya nyeri di selangkangan dan riwayat operasi hernia sebelumnya.

Askep Post Op Hernia Pdf
Askep Post Op Hernia Pdf

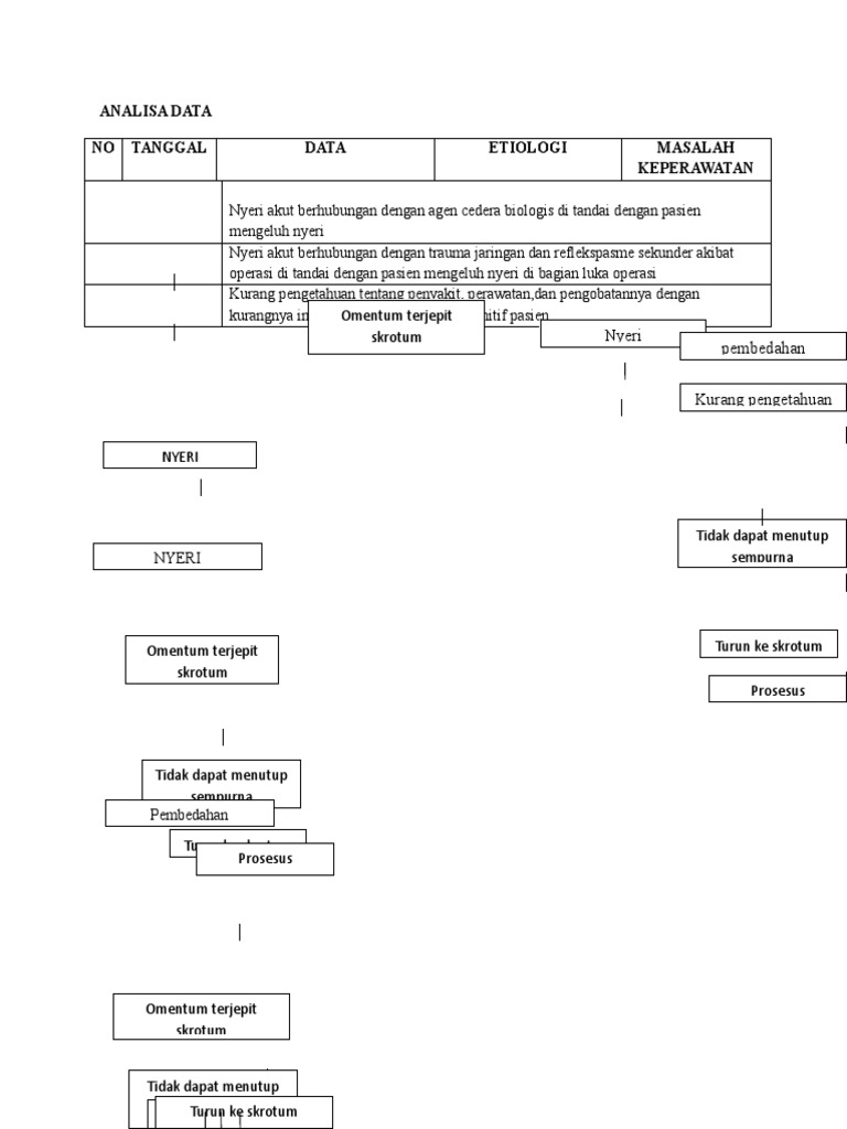
Askep Post Op Hernia Pdf Secara umum hernia merupakan proskusi atau penonjolan isi suatu rongga dari berbagai organ internal melalui pembukaan abnormal atau kelemahan pada otot yang mengelilinginya dan kelemahan pada jaringan ikat suatu organ tersebut. Pasien dengan kasus hernia inguinalis mengalami rawat inap di rumah sakit umum dr. pirnggadi medan sejak tahun 2007 2010 tercatat 111 jiwa. dari data tersebut yang menjadi latar belakang penulis mengambil kasus hernia inguinalisdalam penulisan laporan tugas akhir. Contoh askep hernia free download as word doc (.doc .docx), pdf file (.pdf), text file (.txt) or read online for free. Nyeri (khususnya dengan mengedan) yang berhubungan dengan kondisi hernia atau intervensi pembedahan. hasil yang diperkirakan : dalam 1 jam intervensi, persepsi subjektif klien tentang ketidaknyamanan menurun seperti ditunjukkan skala nyeri.

Contoh Askep Hernia Pdf
Contoh Askep Hernia Pdf

Contoh Askep Hernia Pdf Contoh askep hernia free download as word doc (.doc .docx), pdf file (.pdf), text file (.txt) or read online for free. Nyeri (khususnya dengan mengedan) yang berhubungan dengan kondisi hernia atau intervensi pembedahan. hasil yang diperkirakan : dalam 1 jam intervensi, persepsi subjektif klien tentang ketidaknyamanan menurun seperti ditunjukkan skala nyeri. Kasus hernia biasanya hanya dapat ditangani dengan operasi pembedahan, yaitu penanganan operatif untuk kasus hernia yan wajar. efek dari prosedur pembedahan ini sendiri adalah nyeri dan perlunya perawatan luka pasca operasi (vardaro et al. 2016). perawatan non obat secara efektif mengurangi intensitas nyeri pasca operasi skala nyeri pada pasien. Hernia inguinalis dibagi menjadi 2, yaitu hernia inguinalis medialis dan hernia inguinalis lateralis. jika kantong hernia inguinalis lateralis mencapai skrotum (buah zakar), hernia disebut hernia skrotalis. Makalah ini bertujuan untuk memberikan asuhan keperawatan yang komprehensif bagi pasien hernia inguinalis lateralis di rumah sakit. download as a docx, pdf or view online for free. Denpasar, 20 mei 2019 penulis abstrak asuhan keperawatan pada pasien hernia inguinalis lateralis sinistra post herniotomi dengan diagnosa keperawatan nyeri akut di ruang janger rsd mangusada.

Askep Hernia Pdf
Askep Hernia Pdf

Askep Hernia Pdf Kasus hernia biasanya hanya dapat ditangani dengan operasi pembedahan, yaitu penanganan operatif untuk kasus hernia yan wajar. efek dari prosedur pembedahan ini sendiri adalah nyeri dan perlunya perawatan luka pasca operasi (vardaro et al. 2016). perawatan non obat secara efektif mengurangi intensitas nyeri pasca operasi skala nyeri pada pasien. Hernia inguinalis dibagi menjadi 2, yaitu hernia inguinalis medialis dan hernia inguinalis lateralis. jika kantong hernia inguinalis lateralis mencapai skrotum (buah zakar), hernia disebut hernia skrotalis. Makalah ini bertujuan untuk memberikan asuhan keperawatan yang komprehensif bagi pasien hernia inguinalis lateralis di rumah sakit. download as a docx, pdf or view online for free. Denpasar, 20 mei 2019 penulis abstrak asuhan keperawatan pada pasien hernia inguinalis lateralis sinistra post herniotomi dengan diagnosa keperawatan nyeri akut di ruang janger rsd mangusada.

Comments are closed.