Simplify your online presence. Elevate your brand.

Class 10th Maths Exercise 4 1 Ques 13

Ncert Solutions For Class 10 Maths Chapter 4 Exercise 4 1 Mathongo
Ncert Solutions For Class 10 Maths Chapter 4 Exercise 4 1 Mathongo

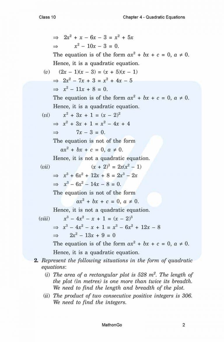
Ncert Solutions For Class 10 Maths Chapter 4 Exercise 4 1 Mathongo Students can use class 10 maths chapter 4 exercise 4.1 solutions to revise solving techniques for quadratic equations and practise writing clean, step wise answers during exams. Ncert solutions for class 10 maths chapter 4 quadratic equations ex 4.1 is given below. all the solutions are prepared by expert teachers according to the new ncert book and syllabus pattern. in this exercise, students will learn about the standard form of a quadratic equation.

Ncert Solutions For Class 10 Maths Exercise 4 1 Quadratic Equations
Ncert Solutions For Class 10 Maths Exercise 4 1 Quadratic Equations

Ncert Solutions For Class 10 Maths Exercise 4 1 Quadratic Equations Textbook revised solutions for exercise 4.1 of class 10 maths chapter 4 have been modified as per the latest ncert textbooks introduced for the 2026 27 board exams. This solution contains questions, answers, images, step by step explanation of the complete chapter 4 titled quadratic equations in class 10. if you are a student of class 10 who is using ncert textbook to study maths, then you must come across chapter 4 quadratic equations. Ncert solutions class 10 maths chapter 4 quadratic equations contain all the solutions to the problems provided in the class 10 maths ncert textbook for cbse exam preparations. the questions from every section are framed and solved accurately by the subject experts. Get ncert solutions for all.

Ncert Solutions For Class 10 Maths Exercise 4 1 Quadratic Equations
Ncert Solutions For Class 10 Maths Exercise 4 1 Quadratic Equations

Ncert Solutions For Class 10 Maths Exercise 4 1 Quadratic Equations Ncert solutions class 10 maths chapter 4 quadratic equations contain all the solutions to the problems provided in the class 10 maths ncert textbook for cbse exam preparations. the questions from every section are framed and solved accurately by the subject experts. Get ncert solutions for all. 10th maths chapter 4 exercise 4.1 question 13#hibamaths #10thmaths. Each chapter is organized exercise wise so you can quickly find the exact question you are practicing. you can also access free pdf downloads chapter wise for offline revision, last minute practice, and exam day confidence. In ncert solutions for class 10 maths chapter 4 exercise 4.1, we have discussed what is quadratic equations and how to represent them. other important topics related to the chapter are covered in the following exercises. This ncert solutions class 10 maths chapter 4 exercise 4.1 has 4 detailed questions. some require proving whether an equation is quadratic or not, while others have word problems that need to be framed in quadratic equation form and solved.

Ncert Solutions For Class 10 Maths Exercise 4 1 Quadratic Equations
Ncert Solutions For Class 10 Maths Exercise 4 1 Quadratic Equations

Ncert Solutions For Class 10 Maths Exercise 4 1 Quadratic Equations 10th maths chapter 4 exercise 4.1 question 13#hibamaths #10thmaths. Each chapter is organized exercise wise so you can quickly find the exact question you are practicing. you can also access free pdf downloads chapter wise for offline revision, last minute practice, and exam day confidence. In ncert solutions for class 10 maths chapter 4 exercise 4.1, we have discussed what is quadratic equations and how to represent them. other important topics related to the chapter are covered in the following exercises. This ncert solutions class 10 maths chapter 4 exercise 4.1 has 4 detailed questions. some require proving whether an equation is quadratic or not, while others have word problems that need to be framed in quadratic equation form and solved.

Ncert Solutions Class 10 Maths Chapter 4 Exercise 4 1 Quadratic Equations
Ncert Solutions Class 10 Maths Chapter 4 Exercise 4 1 Quadratic Equations

Ncert Solutions Class 10 Maths Chapter 4 Exercise 4 1 Quadratic Equations In ncert solutions for class 10 maths chapter 4 exercise 4.1, we have discussed what is quadratic equations and how to represent them. other important topics related to the chapter are covered in the following exercises. This ncert solutions class 10 maths chapter 4 exercise 4.1 has 4 detailed questions. some require proving whether an equation is quadratic or not, while others have word problems that need to be framed in quadratic equation form and solved.

Comments are closed.