Simplify your online presence. Elevate your brand.

Checking For Extraneous Solutions

Solving Logarithmic Equations And Checking For Extraneous Solutions
Solving Logarithmic Equations And Checking For Extraneous Solutions

Solving Logarithmic Equations And Checking For Extraneous Solutions Extraneous solutions often arise when the steps to solve the equation involve squaring both sides, multiplying by expressions that could be zero, or other manipulations that might introduce solutions not valid in the original context. always verify your solutions to ensure they are legitimate. Okay, let's break down how to check for extraneous solutions. this is a crucial step in solving certain types of equations, particularly those involving radicals (like square roots, cube roots, etc.), rational expressions (fractions with variables in the denominator), and absolute values.

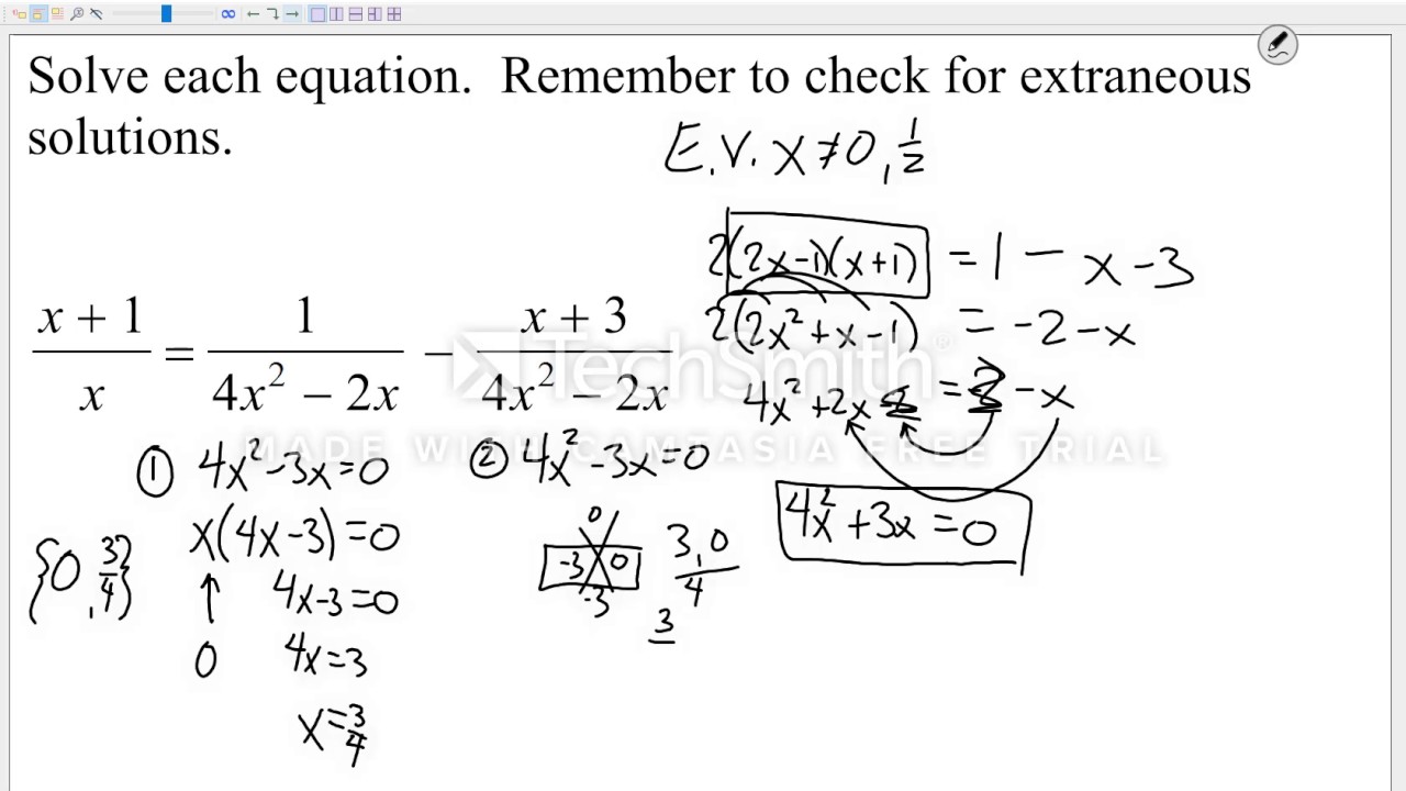
Solving Rational Equations Check For Extraneous Solutions Tessshebaylo
Solving Rational Equations Check For Extraneous Solutions Tessshebaylo

Solving Rational Equations Check For Extraneous Solutions Tessshebaylo Learn how to solve and check for extraneous solutions with this comprehensive guide. this step by step tutorial covers everything you need to know, from identifying extraneous solutions to eliminating them from your problem solving process. Their knowledge of extraneous solutions seems to have displaced what they formerly knew, that they themselves are the most common cause of failed checks. only ignore failed solutions that you know are extraneous. Extraneous solutions appear when solving equations but don’t actually work. learn why they occur and how to catch them before they cost you. This video goes through one example of solving an equation and then checking for extraneous solutions.

Solving Rational Equations Check For Extraneous Solutions Tessshebaylo
Solving Rational Equations Check For Extraneous Solutions Tessshebaylo

Solving Rational Equations Check For Extraneous Solutions Tessshebaylo Extraneous solutions appear when solving equations but don’t actually work. learn why they occur and how to catch them before they cost you. This video goes through one example of solving an equation and then checking for extraneous solutions. These solutions are not due to a mistake in the solving method, but result from the process of raising both sides of an equation to a power. checking each answer in the original equation will confirm the true solutions. Learn how to identify and solve extraneous solutions in algebra with this comprehensive guide. perfect for educators and students alike. Identifying and discarding extraneous solutions is crucial when solving rational equations, as these solutions do not represent valid answers within the context of the original problem. Checking for extraneous solutions involves four key steps: solving an equation, identifying potential extraneous solutions, substituting these values into the original equation, and verifying their validity.

Comments are closed.