Simplify your online presence. Elevate your brand.

Chapter 8 Class Notes Strict Liability With Strict Liability We Don

Strict Liability Notes Pdf Strict Liability Legal Liability
Strict Liability Notes Pdf Strict Liability Legal Liability

Strict Liability Notes Pdf Strict Liability Legal Liability Professor elizabeth cosenza class notes: strict liability friday, february 11, 2022 11:49 am with strict liability, we consider intent and reasonable care,. Blaw chapter 8 notes negligence and strict liability free download as word doc (.doc), pdf file (.pdf), text file (.txt) or read online for free. this document summarizes the key differences between negligence and strict liability.

Strict Liability Note Pdf
Strict Liability Note Pdf

Strict Liability Note Pdf • factual cause the defendant's conduct is a factual cause of the harm when the harm would not have occurred absent the conduct. • scope of liability (proximate cause) *hardest on to prove* liability is limited to those harms that result from the risks that made the defendant's conduct tortious. Chapter 8 negligence and strict liability purpose this chapter introduces you to the law of negligence and strict liability. negligence involves conduct that creates an unreasonable risk of harm. Study with quizlet and memorize flashcards containing terms like topics covered in chapter 8, elements of negligence, reasonable person standard and more. This article explores the concept of strict liability within the framework of tort law. strict liability imposes liability for harm caused by an ultra hazardous activity, even in the absence of negligence.

Understanding Strict Liability Pdf Pdf
Understanding Strict Liability Pdf Pdf

Understanding Strict Liability Pdf Pdf Study with quizlet and memorize flashcards containing terms like topics covered in chapter 8, elements of negligence, reasonable person standard and more. This article explores the concept of strict liability within the framework of tort law. strict liability imposes liability for harm caused by an ultra hazardous activity, even in the absence of negligence. The notes and questions for the principle of strict liability under the law of tort judiciary exams have been prepared according to the judiciary exams exam syllabus. While fault based liability focuses on the defendant’s conduct, strict liability focuses on the nature of the activity or condition itself. unlike negligence, which requires a showing of breach of duty of care, strict liability does not depend on the defendant’s level of care or foresight. Strict liability is not based on the negligence or intent of the defendant but rather on the nature of the activity in which he is engaging. There are situations when a person may be liable for some harm even though he is not negligent in causing the same, or there is no intention to cause the harm, or sometimes he may even have made some positive efforts to avert the same.

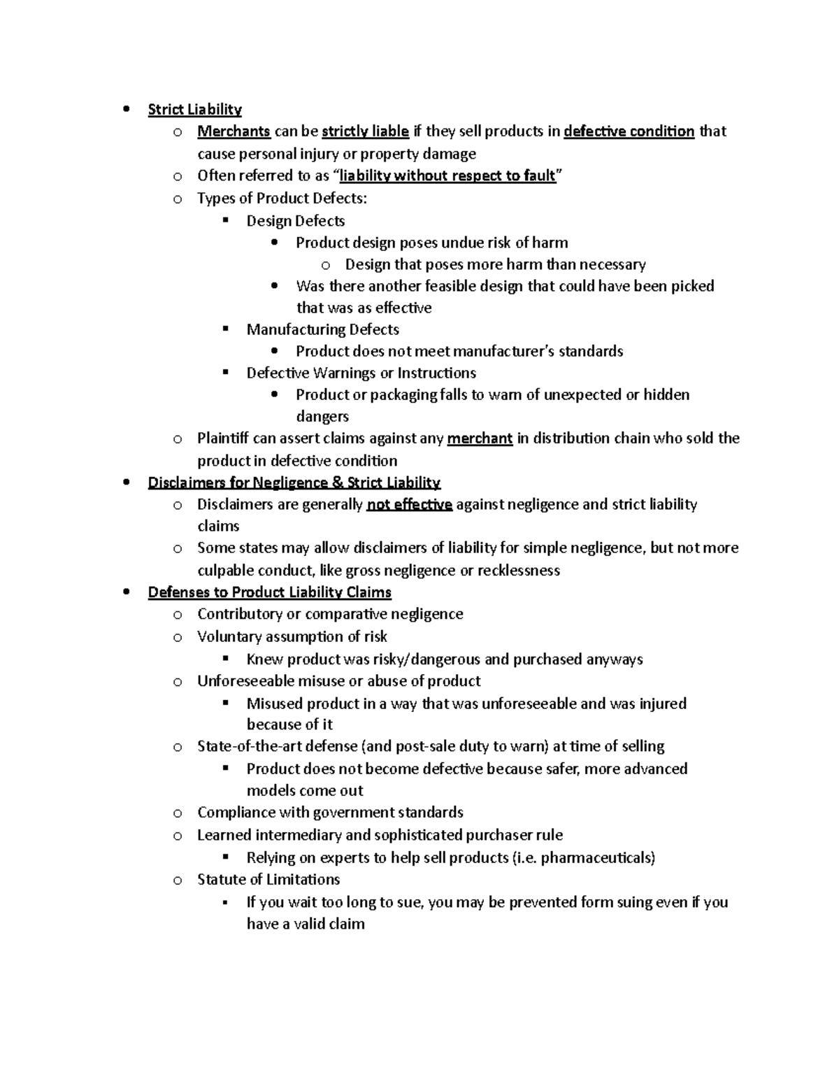
Product Liability Theory Strict Liability Strict Liability O
Product Liability Theory Strict Liability Strict Liability O

Product Liability Theory Strict Liability Strict Liability O The notes and questions for the principle of strict liability under the law of tort judiciary exams have been prepared according to the judiciary exams exam syllabus. While fault based liability focuses on the defendant’s conduct, strict liability focuses on the nature of the activity or condition itself. unlike negligence, which requires a showing of breach of duty of care, strict liability does not depend on the defendant’s level of care or foresight. Strict liability is not based on the negligence or intent of the defendant but rather on the nature of the activity in which he is engaging. There are situations when a person may be liable for some harm even though he is not negligent in causing the same, or there is no intention to cause the harm, or sometimes he may even have made some positive efforts to avert the same.

Comments are closed.