Simplify your online presence. Elevate your brand.

Ch 1 2 Important Qs Accountancy Pdf Goodwill Accounting

Accountancy Goodwill Pdf Valuation Finance Goodwill Accounting
Accountancy Goodwill Pdf Valuation Finance Goodwill Accounting

Accountancy Goodwill Pdf Valuation Finance Goodwill Accounting Ch 1&2 important qs.accountancy free download as pdf file (.pdf), text file (.txt) or read online for free. imp hai. Cbse important questions for class 12 accountancy chapter wise pdf free download was designed by expert teachers from latest edition of ncert books to get good marks in board exams.

Goodwill Accounting Accountancy Pdf Goodwill Accounting
Goodwill Accounting Accountancy Pdf Goodwill Accounting

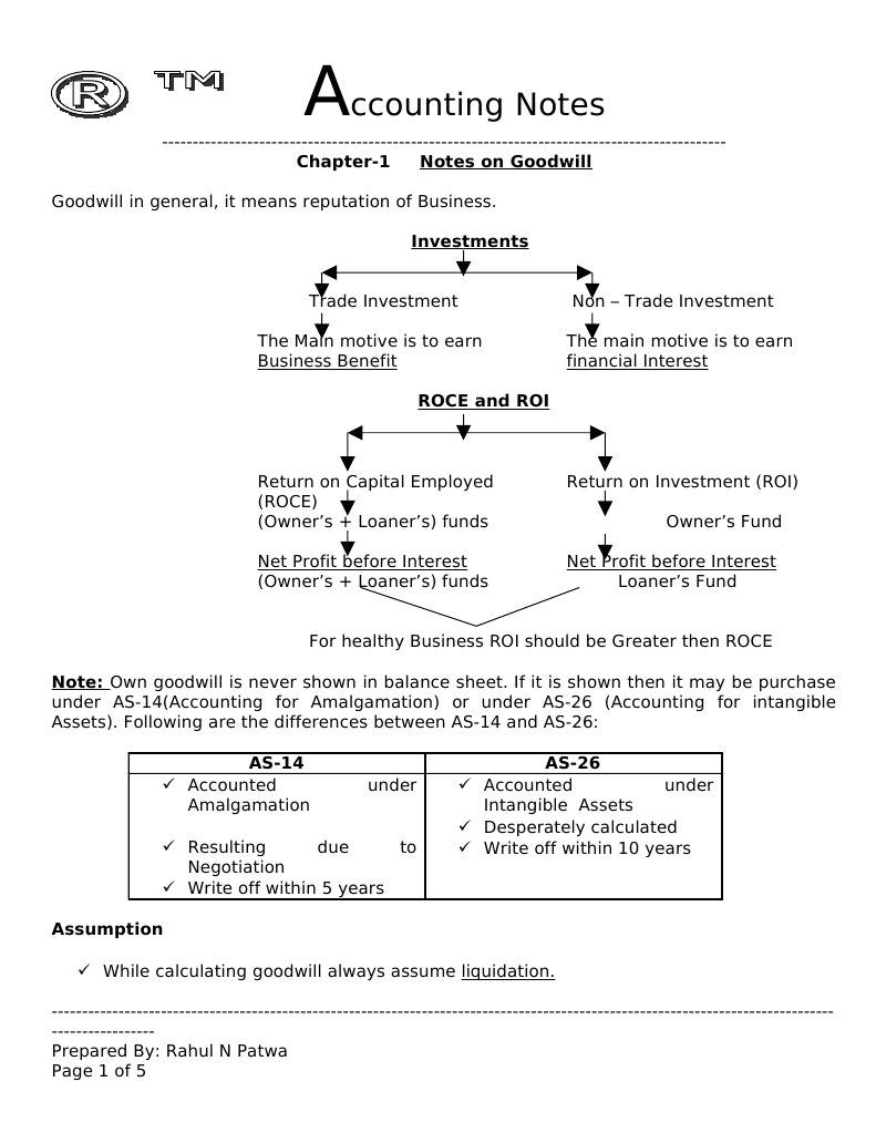
Goodwill Accounting Accountancy Pdf Goodwill Accounting Some of the most important questions of this chapter are available in this bank to enhance your conceptual knowledge in every topic. you are allowed to utilize the cbse class 12 accountancy question bank for goodwill nature and valuation with solutions on our website for free. Free pdf download best collection of cbse topper notes, important questions, sample papers and ncert solutions for cbse class 12 accounts goodwill nature and valuation. All these topics are included in cbse chapter wise important questions of class 12 accountancy chapter fundamentals of partnership and goodwill. Thus, goodwill is the value of the reputation of a firm which enables it to earn higher profits in comparison to the normal profits earned by other firms in the same trade. it is an intangible asset: goodwill cannot be seen or touched. it does not have any physical existence.

Ccounting Notes Chapter 1 Notes On Goodwill Pdf Goodwill
Ccounting Notes Chapter 1 Notes On Goodwill Pdf Goodwill

Ccounting Notes Chapter 1 Notes On Goodwill Pdf Goodwill All these topics are included in cbse chapter wise important questions of class 12 accountancy chapter fundamentals of partnership and goodwill. Thus, goodwill is the value of the reputation of a firm which enables it to earn higher profits in comparison to the normal profits earned by other firms in the same trade. it is an intangible asset: goodwill cannot be seen or touched. it does not have any physical existence. Are you looking for the solutions to chapter 2 of goodwill of ts grewal book class 12 accountancy cbse board 2024 25 edition? i have solved each and every question of this chapter of ts grewal book of the latest 2024 25 editon. the link to all unsolved questions has been given below. Download the latest cbse class 12 accountancy goodwill nature and valuation notes in pdf format. these class 12 accountancy revision notes are carefully designed by expert teachers to align with the 2026 27 syllabus. The notes and questions for important questions valuation of goodwill crash course of accountancy class have been prepared according to the commerce exam syllabus. These multiple choice questions (mcqs) are designed to enhance your knowledge and understanding in the following areas: bachelor of business administration in computer applications (bba [ca]) , bachelor of business administration (bba) , bachelor of accounting and finance (baf) , bachelor of commerce (b com) , cost accounting .

Comments are closed.