Simplify your online presence. Elevate your brand.

Calculus Examples With Parametric Equations

Parametric Equations Example 3 Video Calculus Ck 12 Foundation
Parametric Equations Example 3 Video Calculus Ck 12 Foundation

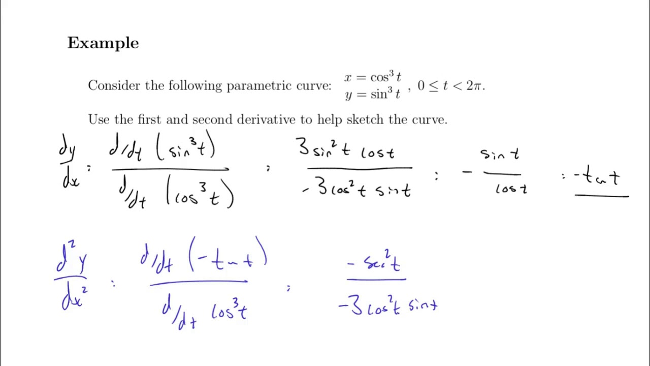
Parametric Equations Example 3 Video Calculus Ck 12 Foundation In this section we will introduce parametric equations and parametric curves (i.e. graphs of parametric equations). we will graph several sets of parametric equations and discuss how to eliminate the parameter to get an algebraic equation which will often help with the graphing process. Example 1. the location of an object in a plane, relative to the orgin, is given by the parametric equations x(t) = t3 1 feet and y(t) = t2 t feet at time t seconds.

Parametric Equations Example 1 Video Calculus Ck 12 Foundation
Parametric Equations Example 1 Video Calculus Ck 12 Foundation

Parametric Equations Example 1 Video Calculus Ck 12 Foundation Apply the formula for surface area to a volume generated by a parametric curve. now that we have introduced the concept of a parameterized curve, our next step is to learn how to work with this concept in the context of calculus. In general, of course, the t limits will be different than the x limits. this technique will allow us to compute some quite interesting areas, as illustrated by the exercises. as a final example, we see how to compute the length of a curve given by parametric equations. Illustrated guidance alongside several worked examples showing how to differentiate with parametric equations. Master calculus with parametric curves with free video lessons, step by step explanations, practice problems, examples, and faqs. learn from expert tutors and get exam ready!.

Differentiation Of Parametric Equations With Examples Neurochispas
Differentiation Of Parametric Equations With Examples Neurochispas

Differentiation Of Parametric Equations With Examples Neurochispas Illustrated guidance alongside several worked examples showing how to differentiate with parametric equations. Master calculus with parametric curves with free video lessons, step by step explanations, practice problems, examples, and faqs. learn from expert tutors and get exam ready!. X = cos(t), y = sin(2 t) are parametric equations for the “infinity curve”: find all times for which this curve will have horizontal tangents. find all times for which this curve will have vertical tangents. at what time does the curve pass through (0, 0) on this curve?. Here is a set of practice problems to accompany the parametric equations and curves section of the parametric equations and polar coordinates chapter of the notes for paul dawkins calculus ii course at lamar university. In this section we examine parametric equations and their graphs. in the two dimensional coordinate system, parametric equations are useful for describing curves that are not necessarily functions. In this section we examine parametric equations and their graphs. in the two dimensional coordinate system, parametric equations are useful for describing curves that are not necessarily functions.

Parametric Equations And Calculus Ck 12 Foundation
Parametric Equations And Calculus Ck 12 Foundation

Parametric Equations And Calculus Ck 12 Foundation X = cos(t), y = sin(2 t) are parametric equations for the “infinity curve”: find all times for which this curve will have horizontal tangents. find all times for which this curve will have vertical tangents. at what time does the curve pass through (0, 0) on this curve?. Here is a set of practice problems to accompany the parametric equations and curves section of the parametric equations and polar coordinates chapter of the notes for paul dawkins calculus ii course at lamar university. In this section we examine parametric equations and their graphs. in the two dimensional coordinate system, parametric equations are useful for describing curves that are not necessarily functions. In this section we examine parametric equations and their graphs. in the two dimensional coordinate system, parametric equations are useful for describing curves that are not necessarily functions.

Parametric Equations Real Life Examples Tessshebaylo
Parametric Equations Real Life Examples Tessshebaylo

Parametric Equations Real Life Examples Tessshebaylo In this section we examine parametric equations and their graphs. in the two dimensional coordinate system, parametric equations are useful for describing curves that are not necessarily functions. In this section we examine parametric equations and their graphs. in the two dimensional coordinate system, parametric equations are useful for describing curves that are not necessarily functions.

Solution Parametric Equations Calculus Studypool
Solution Parametric Equations Calculus Studypool

Solution Parametric Equations Calculus Studypool

Comments are closed.