Simplify your online presence. Elevate your brand.

Apa Sih Tugas Inspektur Wilayah

Surat Tugas Inspektur Pdf
Surat Tugas Inspektur Pdf

Surat Tugas Inspektur Pdf Membantu inspektur dalam memimpin, menyelenggarakan, mengatur, membina, mengendalikan, mengoordinasikan, memantau, mengevaluasi, dan mempertanggungjawabkan pelaksanaan tugas sesuai dengan lingkupnya berdasarkan ketentuan peraturan perundang undangan. Inspektorat pembantu wilayah (ipw) adalah lembaga pemerintahan yang bertugas melakukan pengawasan terhadap pelaksanaan tugas dan fungsi di wilayah tertentu. dalam menjalankan tugasnya, ipw dibagi menjadi beberapa wilayah, di antaranya ipw wilayah 1, ipw wilayah 2, dan ipw wilayah 3.

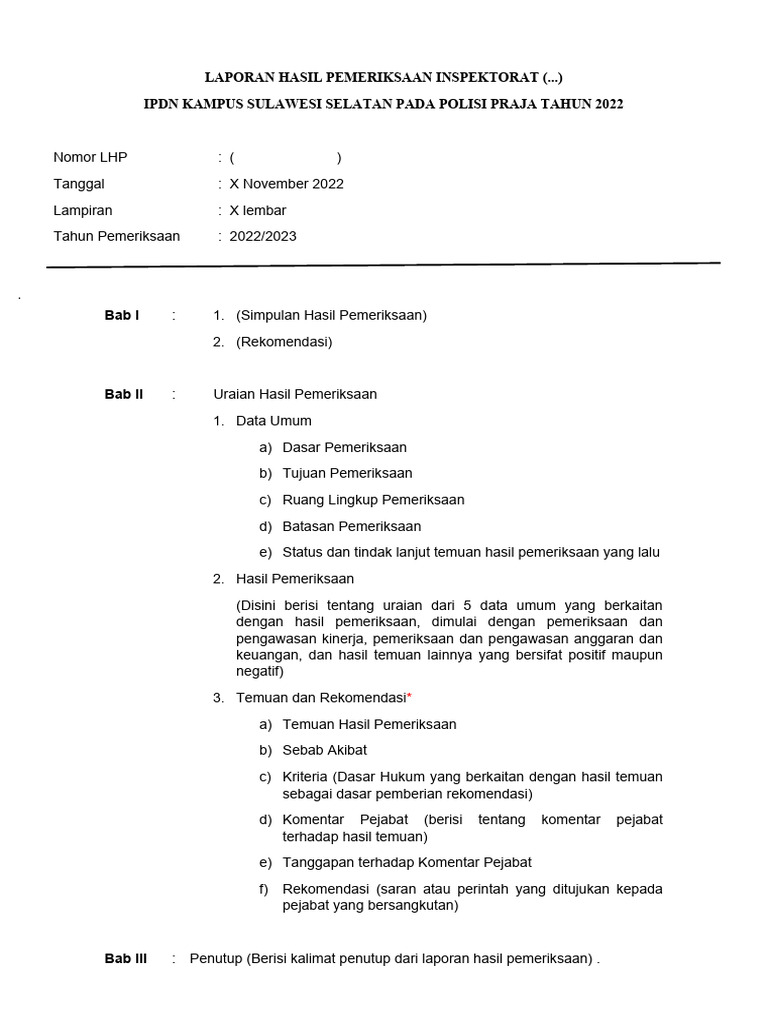
Lhp Format Inspektur Wilayah Fix 2 Pdf
Lhp Format Inspektur Wilayah Fix 2 Pdf

Lhp Format Inspektur Wilayah Fix 2 Pdf Apa sih tugas inspektur wilayah? #sahabatpengayoman sudah pada tahu belum tugas dari inspektur wilayah? kalau belum, inspektur wilayah ii inspektorat. Inspektur daerah mempunyai tugas membantu bupati dalam melakukan pengawasan terhadap pelaksanaan urusan pemerintahan, dan pelaksanaan pembinaan atas penyelenggaraan pemerintahan dan pelaksanaan urusan pemerintahan desa. Inspektur mempunyai tugas membantu bupati dalam melaksanakan urusan pemerintahan di bidang pengawasan yang menjadi kewenangan daerah dan tugas pembantuan yang diberikan kepada daerah. Inspektur pembantu wilayah i sampai dengan wilayah iv mempunyai tugas melaksanakan pembinaan dan pengawasan fungsional terhadap pengelolaan keuangan, kinerja dan urusan pemerintahan daerah pada perangkat daerah dan penanganan kasus pengaduan di wilayahnya.

Inspektorat Daerah Inspektur Pembantu Wilayah Iv
Inspektorat Daerah Inspektur Pembantu Wilayah Iv

Inspektorat Daerah Inspektur Pembantu Wilayah Iv Inspektur mempunyai tugas membantu bupati dalam melaksanakan urusan pemerintahan di bidang pengawasan yang menjadi kewenangan daerah dan tugas pembantuan yang diberikan kepada daerah. Inspektur pembantu wilayah i sampai dengan wilayah iv mempunyai tugas melaksanakan pembinaan dan pengawasan fungsional terhadap pengelolaan keuangan, kinerja dan urusan pemerintahan daerah pada perangkat daerah dan penanganan kasus pengaduan di wilayahnya. Inspektorat merupakan unsur pengawas penyelenggaraan pemerintahan daerah, dipimpin oleh inspektur yang dalam melaksanakan tugasnya bertanggung jawab kepada bupati melalui sekretaris daerah. Inspektorat merupakan unsur pengawas penyelenggaraan pemerintahan daerah mempunyai tugas membantu gubernur dalam pembinaan dan pengawasan penyelenggaraan pemerintahan daerah oleh perangkat daerah, bumd dan kabupaten kota, yang dipimpin oleh inspektur. Inspektorat sesuai peraturan bupati katingan nomor 23 tahun 2022, inspektorat mempunyai tugas pokok melakukan pengawasan dan pembinaan terhadap pelaksanaan urusan pemerintahan di daerah kabupaten, kecamatan, desa kelurahan. inspektorat merupakan unsur pengawas penyelenggaraan pemerintah daerah. Mempunyai tugas melaksanakan sebagian tugas inspektur dalam pembinaan dan pengawasan pengelolaan keuangan dan kinerja terhadap pelaksanaan urusan pemerintahan daerah sesuai wilayah kerjanya.

Serah Terima Jabatan Inspektur Wilayah I Itjen Kemlu
Serah Terima Jabatan Inspektur Wilayah I Itjen Kemlu

Serah Terima Jabatan Inspektur Wilayah I Itjen Kemlu Inspektorat merupakan unsur pengawas penyelenggaraan pemerintahan daerah, dipimpin oleh inspektur yang dalam melaksanakan tugasnya bertanggung jawab kepada bupati melalui sekretaris daerah. Inspektorat merupakan unsur pengawas penyelenggaraan pemerintahan daerah mempunyai tugas membantu gubernur dalam pembinaan dan pengawasan penyelenggaraan pemerintahan daerah oleh perangkat daerah, bumd dan kabupaten kota, yang dipimpin oleh inspektur. Inspektorat sesuai peraturan bupati katingan nomor 23 tahun 2022, inspektorat mempunyai tugas pokok melakukan pengawasan dan pembinaan terhadap pelaksanaan urusan pemerintahan di daerah kabupaten, kecamatan, desa kelurahan. inspektorat merupakan unsur pengawas penyelenggaraan pemerintah daerah. Mempunyai tugas melaksanakan sebagian tugas inspektur dalam pembinaan dan pengawasan pengelolaan keuangan dan kinerja terhadap pelaksanaan urusan pemerintahan daerah sesuai wilayah kerjanya.

Koordinasi Inspektur Wilayah Iii Dengan Inspektur Dan Kepala
Koordinasi Inspektur Wilayah Iii Dengan Inspektur Dan Kepala

Koordinasi Inspektur Wilayah Iii Dengan Inspektur Dan Kepala Inspektorat sesuai peraturan bupati katingan nomor 23 tahun 2022, inspektorat mempunyai tugas pokok melakukan pengawasan dan pembinaan terhadap pelaksanaan urusan pemerintahan di daerah kabupaten, kecamatan, desa kelurahan. inspektorat merupakan unsur pengawas penyelenggaraan pemerintah daerah. Mempunyai tugas melaksanakan sebagian tugas inspektur dalam pembinaan dan pengawasan pengelolaan keuangan dan kinerja terhadap pelaksanaan urusan pemerintahan daerah sesuai wilayah kerjanya.

Comments are closed.