Simplify your online presence. Elevate your brand.

Adjusting Entries Pdfcoffee Com

Adjusting Entries Pdf
Adjusting Entries Pdf

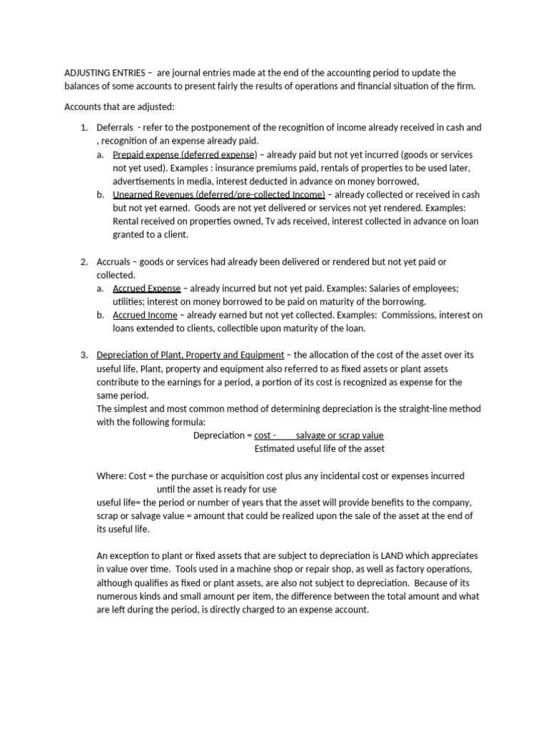
Adjusting Entries Pdf Adjusting entries bring certain account balances up to date at the end of the accounting period. adjusting entries are required when changes in certain accounts have not been recorded in the accounting records. adjustments are necessary for items that have either been deferred or accrued. This document contains examples of adjusting entries for various expenses and revenues. it discusses entries related to unearned rent, prepaid insurance, depreciation, interest, salaries, utilities, supplies and bad debts.

Adjusting Entries Pdf
Adjusting Entries Pdf

Adjusting Entries Pdf Four types of adjusting entries are described in chapter 4 of the text. using these descriptions, identify the type of each adjusting entry prepared in part a above. Adjustments and adjusting entries most businesses use the accrual basis of accounting; hence, adjustments at the end of an accounting period are made to update the accounting records. adjustments an account that is added to or subtracted from an account balance to bring that balance up to date. Key topics include adjusting entries for prepaid expenses, unearned revenues, and accrued expenses, as well as the preparation and purpose of an adjusted trial balance for accurate financial statements. An adjusting journal entry is typically made just prior to issuing a company's financial statements. to demonstrate the need for an accounting adjusting entry let's assume that a company borrowed money from its bank on december 1, 2020 and that the company's accounting period ends on december 31.

Adjusting Entries Pdf
Adjusting Entries Pdf

Adjusting Entries Pdf Key topics include adjusting entries for prepaid expenses, unearned revenues, and accrued expenses, as well as the preparation and purpose of an adjusted trial balance for accurate financial statements. An adjusting journal entry is typically made just prior to issuing a company's financial statements. to demonstrate the need for an accounting adjusting entry let's assume that a company borrowed money from its bank on december 1, 2020 and that the company's accounting period ends on december 31. Learn about adjusting journal entries in accounting. understand types, examples, and how they ensure accurate financial statements under accrual accounting. Prepare the year end adjusting entry: adjusting entries problems and solutions free download as word doc (.doc .docx), pdf file (.pdf), text file (.txt) or read online for free. this document provides solutions to 7 adjusting entry problems related to unrecorded expenses and revenues. Adjusting entries are non cash transactions— the cash account will never be used in an adjusting entry. adjusting entries will always involve at least one income statement account and one balance sheet account. The solution manual or answer key to the book of zeus vernon b. millan in financial accounting and reporting (fundamentals) chapter 8 page chapter adjusting.

Adjusting Entries Pdf Debits And Credits Expense
Adjusting Entries Pdf Debits And Credits Expense

Adjusting Entries Pdf Debits And Credits Expense Learn about adjusting journal entries in accounting. understand types, examples, and how they ensure accurate financial statements under accrual accounting. Prepare the year end adjusting entry: adjusting entries problems and solutions free download as word doc (.doc .docx), pdf file (.pdf), text file (.txt) or read online for free. this document provides solutions to 7 adjusting entry problems related to unrecorded expenses and revenues. Adjusting entries are non cash transactions— the cash account will never be used in an adjusting entry. adjusting entries will always involve at least one income statement account and one balance sheet account. The solution manual or answer key to the book of zeus vernon b. millan in financial accounting and reporting (fundamentals) chapter 8 page chapter adjusting.

Adjusting Entries Module Pdf Debits And Credits Expense
Adjusting Entries Module Pdf Debits And Credits Expense

Adjusting Entries Module Pdf Debits And Credits Expense Adjusting entries are non cash transactions— the cash account will never be used in an adjusting entry. adjusting entries will always involve at least one income statement account and one balance sheet account. The solution manual or answer key to the book of zeus vernon b. millan in financial accounting and reporting (fundamentals) chapter 8 page chapter adjusting.

Comments are closed.